1、美國物理學家。1927年和C.J.戴維遜合作進行實驗,證實了德布羅意的電子波動性假說
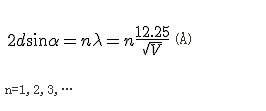
1、1927年,戴維遜和革末做了慢電子在鎳單晶表面的衍射實驗。根據愛因斯坦-德布羅意關係,慢電子束的德布羅意波長與軟X射線的波長相近。因而為了顯示電子的波動性,應採用軟X射線在晶體光柵上衍射的相同方法。當電子的德布羅意波長滿足布拉格(Bragg)公式

革末--美國物理學家。1927年和C.J. 戴維遜合作進行實驗,證實了德布羅意的電子波動性假說。
雷斯特·革末(Lester 歲革末開始了攀岩的副業生涯。 革末從來沒有參加阿帕拉契登山俱樂部的活動。
內容介紹ペリー來航から西南戦爭終結に至る幕末維新期の歴史過程は,世界史的にみて極めて大きな変革であった.維新期史料に通暁する著者が,長年の研究成果を注ぎ...
內容介紹革龜屬於龜鱉目、革龜科,是現生烏龜家族中體形最大的,體長可達2米。除了體形龐大之外,革龜外型最明顯的特點為背甲外無角質化的盾板,而皮質的外皮革所取代。是...
動物簡介 基本信息 形態特徵 生活習性 繁殖習性湘西苗民革屯抗日軍簡介 革屯運動是近代湘西苗族人民為廢除國民黨政府...雍建立的湘鄂川黔四省邊區革屯抗日軍和龍雲飛領導的湘西苗民革屯抗日救國軍,三支革屯大軍發動的武裝鬥爭得到當地苗,漢,土家等族人民的支持。起義迅速...
湘西苗民革屯抗日軍簡介 湘西苗民革屯抗日軍形成的歷史背景 湘西苗民革屯抗日軍的抗日之路江革,字休映,濟陽人。江革自幼聰明敏捷,六歲便通作文。九歲時父親去世,他孤苦貧窮,但讀書孜孜不倦。十六歲時母親又去世,因服喪有孝行而聞名。服喪期滿,補為...
簡介 原文 翻譯 人物簡介 出處孔明,將孔明山看作是孔明的化身。在革登茶山的新酒房和茶王樹樑子看孔明山,山形看上去很像頭戴道冠的孔明頭像,“孔明”的正面對著革登老寨,右耳則是對著茶王樹樑子。關於革登的茶王樹《思茅廳志》和《普洱志》中有記載:“其治革...
深為感動的張新讓對丁世革說:“兄弟,你沒有歧視我,你讓我感到了家的溫暖。 ”丁世革是這樣想的,也是這樣做的。 ”一次,劉愛雲到花園醫院找已兩個月不曾謀面...
兵革,兵器和甲冑的總稱。泛指武器軍備。
詞語注音 詞語解析