定義
如果把非線性積分方程中出現的函式看做巴拿赫空間中的元素,那么原來的積分運算就將構成一個非線性積分運算元 T 。
分類
常見的非線性積分運算元有:
烏雷松運算元
非線性積分運算元
非線性積分運算元其中 k(x,y,t) 是 上的已知函式,它關於 t 是非線性的。
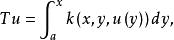
沃爾泰拉運算元
非線性積分運算元
非線性積分運算元其中k(x,y,t) 是 上的已知函式,它關於 t 是非線性的,a<x<b.
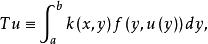
哈默斯坦運算元
非線性積分運算元
非線性積分運算元
非線性積分運算元其中k(x,y) 是 上 p 冪可積函式, f(y,t) 在上可測,並且對於固定的 y ,關於 t 是連續的,這樣就可以與抽象空間中的運算元理論研究結合起來。

