定義
可以通過改變電路參數來改變靜態工作點,這就可以設定靜態工作點
若靜態工作點設定的不合適,在對交流信號放大時就可能會出現飽和失真(靜態工作點偏高)或截止失真(靜態工作點偏低)。 所謂靜態工作點,是指當放大電路處於靜態時,電路所處的工作狀態。在Ic/Uce 圖上表現為一個點,即當確定的Vcc、Rb、Rc和電晶體狀態下產生的電路工作狀態。當其中一項改變時引起Ib變化而引起Q點沿著直流負載線上下移動。
認識靜態工作點,先知道什麼 是靜態
靜態:
當放大電路沒有輸入信號時的工作狀態
因為Vcc、Rb、Rc、和電晶體不變,所以電路中各參數都是不變的。這就是靜態
靜態工作點的作用
1) 確定放大電路的電壓和電流的靜態值
2) 選取合適的靜態工作點可以防止電路產生非線性失真。保證有較好的放大效果
靜態工作點的確定
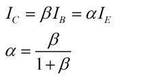
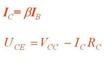
靜態工作點是直流負載線與電晶體的某條輸出特性曲線的交點。隨IB的不同而靜態工作點沿直流負載線上下移動。
根據式Uce=Ucc-RcIc,在Ic/Ucc圖上畫出直流負載線,再畫出在IB情況下的電晶體輸出特性曲線,交點即靜態工作點。
參數
處於靜態工作點時的三個參數
靜態工作點
靜態工作點在放大電路中,當有信號輸入時,交流量與直流量共存。將輸入信號為零、即直流電源單獨作用的時候電晶體的基極電流 Ib 、集電極電流 Ic(或 Ie )、管壓降 Ube和 c-e 間電壓 Uce稱之為靜態工作點 Q,常將 Q點記作 IBQ、 ICQ(或 IEQ)、 UBEQ、 UCEQ。(參見《模擬電子技術基礎》(第四版)華成英 童詩白主編 P80)
公式
靜態工作點
靜態工作點
靜態工作點
