靜力平衡原理
正文
力系中諸力同在一平面內的稱為平面力系;否則稱空間力系。平面力系的靜力平衡條件用三個平衡方程表述:

平面力系中諸力均匯交於一點時,該力系稱作平面匯交力系。諸力相互平行時,該力系稱作平面平行力系。
平面匯交力系的靜力平衡方程如下:


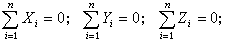
空間力系的靜力平衡條件用六個靜力平衡方程表述:
;
;

參考書目
清華大學理論力學教研組編:《理論力學》,人民教育出版社,北京,1981。

闡明各種力系的靜力平衡條件的原理。在靜力荷載作用下結構相對於周圍的物體處於靜止狀態,稱為該結構處於靜力平衡狀態。將結構中的一個部分,從與它相聯繫的周圍部分(可能包括地面)分離開來,則該部分稱作分離體,也稱隔離體或自由體。單獨畫出分離體而將與它相聯繫的地面和周圍部分所加給它的力,及它所承受的靜力荷載都畫到這個分離體上所示的圖形,稱作分離體受力圖,簡稱分離體圖或自由體圖。圖上所受的若干力(包括靜力荷載)構成一組力稱為力系,它必須滿足靜力平衡條件才能維持靜力平衡。靜力平衡條件通常用靜力平衡方程表述。



;
;

靜力觸探是指利用壓力裝置將有觸探頭的觸探桿壓入試驗土層,通過量測系統測土的貫入阻力,可確定土的某些基本物理力學特性,如土的變形模量、土的容許承載力等。靜...
基本原理 適用條件 工作特點 技術標準 探頭維修結構靜力實驗同理論分析和計算一般是互相驗證、互為補充的,但有時由於結構的複雜性和受力的特殊性而無法進行準確的理論分析或計算,結構靜力實驗就成為確定結構強...
結構靜力實驗 正文 配圖 相關連線空氣靜力學研究氣體靜止時的現象以及相關力學行為的科學。空氣靜力學屬流體靜力學,而流體靜力學是連續介質力學的分支學科流體力學的子學科。
基本概念 研究對象 基本方程 流體靜力學示意圖 創始人桿繫結構的靜力分析是指在已知靜力荷載下桿繫結構的內力和位移計算。 桿繫結構分為靜定結構和超靜定結構。 跨度較小或結構整體的剛度較大時,懸索結構可用通常的...
桿繫結構的靜力分析 正文 配圖 相關連線靜力水準系統是測量兩點間或多點間相對高程變化的精密儀器。主要用於大型儲罐、大壩、核電站、高層建築、基坑、隧道、橋樑、捷運等垂直位移和傾斜的監測。靜力水準...
簡介 基本內容能量原理,是分析結構在荷載、溫差等外因影響下所產生的應力、變形和位移狀態的基本原理之一。
能量原理 正文 配圖 相關連線《結構靜力與動力分析:強調地震工程學的物理方法》作者(美)愛德華·L·威爾遜,中國建築工業於2006年1月1日出生版。
基本信息 內容提要 目錄 導語本:16開內容簡介《結構靜力與動力分析——強調地震工程學的物理方法...的結構分析教科書裡面還尚未提及。除此之外,《結構靜力與動力分析:強調地震...從事現代結構工程領域的研究學者和專業人員來說,《結構靜力與動力分析:強調...
基本信息 內容簡介 本書目錄《機械原理教程》是2007年出版的圖書,作者是鄒慧君。
圖書1信息 內容簡介 目錄 圖書2信息 內容簡介