基本概念
霍特林統計量
霍特林統計量
霍特林統計量
霍特林統計量設 是獨立的 隨機向量, 分別為來自 的樣本均值與樣本協差陣,則有以下定義。
霍特林統計量定義1
霍特林統計量
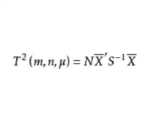
霍特林統計量稱為Hotelling的T統計量,m,n為自由度, 為總體均值,當 =0時,T統計量常簡記為T(m,n),它的分布稱為T分布,記作:T~T(m,n)。
霍特林統計量
霍特林統計量
霍特林統計量
霍特林統計量T統計量是Hotelling於1931年首先提出的,它是一元統計分析中t統計量在多元分析中的直接推廣,因為當m=1時,T²就是通常用來檢驗是否均值 =0的t統計量的平方。一般情況下。顯然T²≥0,且如果 =0。則 應該接近0,於是T²也應接近0,因此,如果T²的觀測值足夠大,則可認為有理由拒 絕零假設H: =0。在一元統計分析中,t分布已有專門的t分布表可查,對於t分布在多元統計分析中的推廣的T²分布也有專門的T²(m,n)分布表可查。
相關結論
霍特林統計量
霍特林統計量
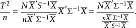
霍特林統計量定理1 設 與S為來自 的容量為N=n+1的樣本均值與樣本協差陣,(其中n≥m),令 ,則
霍特林統計量
霍特林統計量
霍特林統計量
霍特林統計量
霍特林統計量
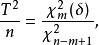
霍特林統計量為 ,即具有自由度m與n-m+1的參數為 的非中心F分布。當 =0時,則 =0,這時就成為中心F分布 。
霍特林統計量
霍特林統計量
霍特林統計量
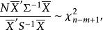
霍特林統計量證明 因為 與S相互獨立, 為 ,且 ,於是
霍特林統計量由相關定理知
霍特林統計量
霍特林統計量
霍特林統計量
霍特林統計量且與 相互獨立。又因 ~ , 由相關定理知,
霍特林統計量因此
霍特林統計量其中分子與分母是相互獨立的,將分子分母分別用它們對應的自由度除之,並根據非中心F分布定義,有
霍特林統計量證畢。
這個定理的最大優點是它 把T統計量化成為F分布。
霍特林統計量
霍特林統計量這裡關於T分布的推導是由Wijsman 1957年給出的。注意,當 =0時,T簡記作T(m,n),此時(n一m+1)T/nm的分布為中心 分布。
因此,檢驗
霍特林統計量
霍特林統計量零假設H: =0;備擇假設H: ≠0時,在水平α下,如果
霍特林統計量
霍特林統計量
霍特林統計量則拒絕H,接受H。其中 表示 分布的上100α%位點。

