儀器簡介
電離輻射厚度計 的工作原理是通過測量透過板材的射線強度來確定厚度。射線束細,回響速度快,切斷電源後射線立即消失。因此,這種厚度計使用和儲存均比核輻射式方便和安全,而且因被測板材表面可能存在的水膜引起的誤差比較小。
儀器分類
電離輻射厚度計分為兩類 。一類是利用β、γ等核輻射線穿透被測材料時被吸收而發生強度變化來測量厚度的;另一類是利用核輻射線反散射原理的,射線穿過物質時發生散射現象,當散射角超過90°時便產生反散射,而反散射強度與材料厚度有關,測出從材料反散射的射線強度即可測出厚度。
核輻射穿透式厚度計
基本原理
放射源發出的射線透過被測材料後被探測器吸收,探測器產生相應於厚度的電流IX,它在R上的壓降為EX,經與定值器設定厚度相對應的電壓ES比較後,偏差(即厚度變化量)經放大後送給顯示儀表或調節儀表進行顯示或控制。用β射線作為放射源的厚度計測量範圍較窄,適用於測量較薄的鋼帶、銅帶、紙張、塑膠和橡膠等的厚度。用γ射線作為放射源的厚度計測量範圍寬,能用於惡劣環境下,不受煙氣、蒸汽和水分等影響,但需要對核輻射採取防護措施 。
電離輻射厚度計因此
電離輻射厚度計對於β射線:
電離輻射厚度計對於γ射線
電離輻射厚度計僅對窄束單能射線適用,對寬束和多能射線需修正。
β穿透式厚度計
測量範圍:幾mg/cm2-600mg/cm2
對於鋼板:約0.003-0.8mm
常採用的放射性同位素:
Tl204,Sr90,C14,Pm147,Kr85
常用探測器:單電離室、雙電離室
β放射源的工作範圍如下圖所示 。
工作範圍1)單電離室β厚度計
是由電離室、放射源、放大器、指示器、補償電源組成的。
其示意圖如下所示。
單電離室β厚度計原理示意圖2)雙電離室β厚度計
是由測量電離室、測量放射源、補償電離室、補償放射源、放大器、指示器、可逆電機、補償電源組成的。具有兩個電離室 。
其示意圖如下所示。
雙電離室β厚度計原理示意圖γ穿透式厚度計
測量熱軋鋼板厚度或其他較厚物體的厚度。
測量範圍:
對於鋼約為0.064-125mm,常用範圍0.5-50mm
對於其他材料:
電離輻射厚度計常用輻射源:Cs137,Co60,Am241
探測器:閃爍探測器,γ電離室
1)自動標定式γ厚度計
放射源、閃爍計數器、高壓電源、積分器、電橋電路、補償電源、變化器、放大器、相敏檢波器、指示器、功率放大器以及可逆馬達組成 。
其示意圖如下所示。
自動標定式γ厚度計2)周期性調製放射源的γ厚度計
周期性調製放射源的γ厚度計是由補償源、輻射探測器、測量材料以及工作源組成。
其示意圖如下。
周期性調製放射源的γ厚度計核反射式厚度計
基本原理(β射線)
射線穿過物質時發生散射現象,當散射角超過90°時便產生反散射,而反散射強度與材料厚度有關,測出從材料反散射的射線強度即可測出厚度 。
電離輻射厚度計
電離輻射厚度計-由非常厚的散射體反射出的反散射輻射強度
x-被測物厚度
電離輻射厚度計-反散射強度
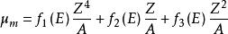
k-決定於輻射能量的常數,可由下式確定:
電離輻射厚度計鍍膜厚度(β射線)
電離輻射厚度計Ip0-當Xn=0時的反散射輻射強度
Ipn-當Xn大於等於XH時的反散射輻射強度
ρn-覆蓋材料的密度
對於γ射線:
電離輻射厚度計μIK − 初始輻射康普頓的線性衰減係數;
μI -初始輻射的線性全衰減係數;
μIp - 散射輻射的線性衰減係數;
β反射式厚度計
β反射式厚度計是由工作放射源、工作電離室、補償放射源、補償電離室、補償塊以及高電阻組成 。
測量範圍在160mg/cm2以下。
其示意圖如下所示。
β反射式厚度計γ反射式厚度計
γ反射式厚度計是由放射源、閃爍體、光電倍增管、射極輸出器、放大器、鑑別器、反覆和裝置、放大積分器以及指示器組成 。
測量範圍約為0-18mm.
其示意圖如下所示。
γ反射式厚度計
