簡介
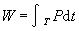
圖1電能 W是有功功率 P 隨時間的積累,即如圖1。 T是所擬積累的一段時間。電能的基本單位是瓦秒,但經常採用的是千瓦時,1千瓦時即為俗稱的1度電。測量電能的主要方法有瓦秒表法和電能表法。
原理
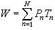
圖2瓦秒表法用一個功率表和一個秒表測量電能。若在各時間段 T1、 T2、…、 Tn內功率各自維持恆定,其值分別為 P1、 P2、…、 Pn,則在總時間 T= T1+ T2+ …+ Tn內的總電能為各段時間內電能之和,即如圖2這種方法也用於校驗其他測量電能的儀表。
電能表法是用電能表測量電能。由於實際電路或系統的負載是不斷變化的,電能表能實現電能的自動積累,並不斷記錄電能。單相電能表在電路中的接線方式與功率表相同。
三相系統的電能測量與電功率測量相似。對三相四線系統,可以用三個單相電能表測量電能,接法與三相四線系統的功率表方式相同。對三相三線系統,可以用兩個單相電能表進行測量,其接法也與三相三線系統中兩個功率表的接法相同。
圖3採用分時計費的電能表可將高峰和低谷用電分開計量、分別計價,是用經濟手段調整用電負荷的有效措施。分時計費裝置(見圖3)是採用感應系電能表的測量機構,結合光電感測的方法,將電能表中鋁盤的轉數轉換為電脈衝。一段時間內的脈衝數即代表這一段時間內負載所消耗的電能,然後再由時控裝置按整定的峰谷用電的起始和終止時間,控制峰載和谷載計量器,即可實現分時計費。
隨著電力電子技術的發展,電力電子器件廣泛套用,電壓和電流波形嚴重畸變,又製成了能測量非正弦波形的特種電能表

