簡介
定義:轉矩是各種工作機械傳動軸的基本載荷形式,與動力機械的工作能力、能源消耗、效率、運轉壽命及安全性能等因素緊密聯繫,轉矩的測量對傳動軸載荷的確定與控制、傳動系統工作零件的強度設計以及原動機容量的選擇等都具有重要的意義。
電磁轉矩的計算
電磁轉矩是電機的一個重要指標,電磁轉矩的準確計算也會影響一台電機的性能。最常用的兩種方法就是麥克斯韋應力張量法和磁通法。這兩種方法都基於有限元計算,有限元分析軟體功能比較強大,可以通過節點磁位很容易計算電磁轉矩 。
直流電機
直流電機的電磁轉矩是由每極氣隙磁通和電樞電流共同作用產生的。
直流電動機堵轉轉矩計算公式T=9.55KI。
直流電機轉矩公式:T=CΦI,其中C為轉矩常數,Φ為每極主磁通,I為電樞電流。
直流發電機和直流電動機的電磁轉矩在性質上的介紹:1、電動機和發電機的電磁轉矩都是由電樞電流在磁場中受到電磁力產生的;2、電動機的電磁轉矩方向與轉動方向相同,它是驅動力矩,電動機通過它將電能轉換為機械能;3、發電機的電磁轉矩方向與轉動方向相反,它是制動力矩,發電機通過它將機械能轉換為電能。
直流發電機和直流電動機的電磁轉矩的產生及作用:1、直流電動機,外加電源之後,勵磁線圈會在電機內產生一個磁場,電樞通電以後,就形成帶電導體。帶電導體在磁場中,就會受到力的作用從而產生運動,這個促使電樞運動的力矩,就是電磁力矩(這個力矩是驅動電樞運動的)。當電樞開始運動之後,就又形成導體切割磁力線,從而導體內部會產生(感應出)電勢,這個電勢我們稱為感應電動勢。外電勢與感應電勢關係為:U=E+IR,U為外電勢,E是內電勢(感應電勢),I是電機電流,R是電機電阻。2、直流發電機,這個情況稍稍複雜一點。有的發電機是自勵磁(要求有剩磁),有的是外加勵磁電源。無論是哪種情況,都要求有磁的存在,當電樞運動在磁場中切割磁力線的時候,就會產生一個電勢,這個電勢就是感應電勢。跟電動機同樣的道理,同時存在著一個電磁力矩,只是這個力矩是阻止電樞運動的,與外部拖動電樞運動的裝置的力矩相平衡。同樣,外電勢與感應電勢關係為:E=U+IR,U為外電勢,E是內電勢(感應電勢),I是電機電流,R是電機電阻。
異步電機
定子和轉子的磁場相互作用使電機轉動。 因為轉子的轉速必須低於鏇轉磁場才能對轉子導線形成磁力線切割,所以轉子的轉速要低於定子的鏇轉磁場轉速,所以稱異步電機。
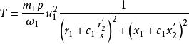
電磁轉矩三相異步電動機的轉矩公式為:
電磁轉矩
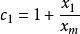
電磁轉矩其中U 為輸入電壓 ; 為歸算後的轉子電阻;s為轉差率; ,由電機結構決定;
可以知道T∝U 轉矩與電源電壓的平方成正比,設正常輸入電壓時負載轉矩為T ,電壓下降使電磁轉矩T下降很多;由於T 不變,所以T小於T 平衡關係受到破壞,導致電動機轉速的下降,轉差率S上升;它又引起轉子電壓平衡方程式的變化,使轉子電流I上升。也就是定子電流I隨之增加(由變壓器關係可以知道);同時I增加也是電動機軸上送出的轉矩T又回升,直到與T相等為止。這時電動機轉速又趨於新的穩定值 。
同步電機
同步發電機電磁轉矩與磁場的強度和繞組裡的電流大小有關。磁場越強,電磁轉矩越大;電流越大,電磁轉矩也越大。
M=CmφI 其中:M---同步發電機的電磁轉矩;Cm---同步發電機的轉矩常數;φ---同步發電機的磁通;I---同步發電機的電流。
另外,也可用功率表示轉矩的公式:M=P/ω 其中:M---同步發電機的電磁轉矩;P--- 同步發電機的輸出功率; ω---同步發電機的鏇轉角速度。
1.M=CmφI 其中:M---同步發電機的電磁轉矩;Cm---同步發電機的轉矩常數;φ---同步發電機的磁通;I---同步發電機的電流。
2.另外,也可用功率表示轉矩的公式:M=P/ω 其中:M---同步發電機的電磁轉矩;P--- 同步發電機的輸出功率; ω---同步發電機的鏇轉角速度。
存在問題
對電磁轉矩分析理論的研究,目前有3個關鍵問題尚未得到很好的解決:①電磁轉矩係數的定義和計算方法是基於單機無窮大系統提出的,可否直接推廣於多機電力系統仍然存在疑問;②電磁轉矩係數的定義是從辨識角度提出的,定義不夠嚴謹,需要更深入的科學論證和完善;③電磁轉矩法與特徵分析法的聯繫沒有建立;電磁轉矩係數的理論計算以及在多機電力系統中的套用尚無深入研究 。
套用
電動機和發電機都有電磁轉矩
電磁轉矩的性質電動機和發電機都有電磁轉矩,對於發電機,電磁轉矩性質為制動轉矩,即與轉速方向相反;對於電動機,電磁轉矩性質為驅動轉矩,即與轉速方向相同。
三相異步電動機的電磁轉矩:
電動機的電磁轉矩是由轉子電流的有功分量和定子鏇轉磁場相互作用產生的電磁轉矩的大小與轉子電流的有功分量、鏇轉磁場的強弱成正比。

