電磁質量和輻射阻尼
正文
在帶電粒子所產生的電磁場中,有一部分是脫離粒子向外輻射的場,稱為輻射場,而另一部分則是依附於帶電粒子的場,稱為帶電粒子的自場(見運動帶電粒子的電磁場)。輻射場將帶走能量,使粒子能量逐漸衰減,因此,它必然會對粒子產生反作用。在經典電動力學中,這種反作用是通過輻射場對粒子的作用力來體現的。這種作用力即為輻射阻尼力。而依附於粒子的場(自場),將使粒子獲得一個附加質量,這就是粒子的電磁質量。對於電磁質量這裡亦只作經典的討論。典型的自場是等速運動粒子的場(靜止粒子可作為它的一個特殊情況)。這時輻射場為零。粒子所產生的全部電磁場都屬於自場。
在粒子速度比光速 с小得多的情況(非相對論情況),自場的動量和能量分別等於

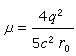
μ =4Uo/(3с2)。
當粒子速度改變時,不僅它自己的動量和能量要改變,依附於它的自場的動量和能量也將隨之改變。如果粒子原來的質量為 mo,則當粒子速度自v1改變到v2時,需要供給它的動量和能量就不僅僅是 mo(v2-v1)和
,而應是(mo+μ)(v2-v1)和
。這表明,由於粒子攜帶著自場,它所表現出的慣性就比原來的大,相當於在原有質量mo之上再加一個質量μ。μ就是粒子的電磁質量。 實驗上所測量的帶電粒子的質量(稱為粒子的物理質量)其實並不是mo,而是mo+μ。這是因為帶電粒子總是同它的自場聯繫在一起,兩者不可分離,而原有質量(通常稱為裸質量)和電磁質量在物理效果上又是完全相同的緣故。
設帶電粒子是半徑為ro的球體,電荷q按體積均勻分布。這時
,
。
,只是前面係數不同。由此可見,如果帶電粒子是一個嚴格的點(點模型),則粒子的物理質量將為無窮大,因而它將完全不能運動。這就是點模型的發散困難。 H.A.洛倫茲和M.阿伯拉罕曾提出這樣一種假設:電子的質量可能完全是電磁的,即mo=0,電子的慣性就是它的自場的慣性。這樣,在電荷按體積均勻分布的假設下,電子的物理質量m就將為
,其中 e 表示電子的電荷。由此得出ro等於
。此結果中的係數
並無重要意義,因其大小依賴於電荷分布的具體假設。但
卻具有典型的意義。它代表在洛倫茲-阿伯拉罕假設下,從經典理論計算出的電子半徑的一般量級。因此通常把 
ro=2.82×10-13cm。
需要注意,此值並不代表電子的真正大小,這不僅因為“電子的全部物理質量就等於它的電磁質量”本身只是一個假定,更重要的是,對於微觀物理問題,經典理論已不能適用。即使電子的電磁質量 μ在量級上與它的物理質量m相同,由於電子和電磁場服從量子規律,經典理論算出的半徑值也不可能在量級上是正確的。目前基本粒子物理方面的實驗資料,已經指明,電子半徑要比10-16厘米還要小。儘管如此,rc是一個由電子的一些基本參量(質量和電荷)和光速с(從相對論觀點看來,它是物理學中的一個基本常數)所組成的具有長度量綱的量。在許多公式中rc常作為一個特徵長度出現,因此仍然是有用的。輻射阻尼力可以通過能量守恆關係從帶電粒子的能量輻射率導出。對於低速運動的帶電粒子,輻射功率為
,

代表加速度的時間變化率。 一般情況下,輻射阻尼力比電子所受到的外力要弱得多,只當在
這樣短促的時間內(rc即為上文中引入的電子經典半徑),加速度的改變數達到加速度本身的量級時,輻射阻尼力才與外力可以比擬。而這種條件是很少能滿足的。 在經典理論中,通常對原子採用諧振子模型。利用上述輻射阻尼力公式,可以研究諧振電子的阻尼振動。在此情況,輻射阻尼力與電子所受的外力(彈性恢復力)的比值約為
,λ 代表振子輻射波的波長。對於原子發射的可見光來說,λ≈5×10-5cm,上述比值約為10-8的量級。就是對於波長為1┱的X 射線,比值也只有10-4的量級。這表明輻射阻尼確實是很小的。於是,可以用近似的方法來考慮輻射阻尼力的影響。這樣得出振子的振幅X隨時間衰減的關係為 
代表振子的壽命。 振子的阻尼振動不是嚴格的周期振動,它所發射的電磁波也將不具有某一個嚴格的頻率,而具有一定的頻譜分布,即振子輻射場的譜線將具有一定寬度。對於原子譜線,導致譜線具有寬度的原因有多種,例如原子間的碰撞、都卜勒效應等。但這些因素與輻射過程無本質的聯繫,它們所造成的寬度也是可以設法削減的(例如降低發光氣體的密度和溫度)。只有輻射阻尼是能量守恆定律的要求,是自然存在的。因此通常把它所造成的寬度稱為譜線的自然寬度。用波長表示時,譜線自然寬度的值為
。
以上求出的振子譜線的自然寬度值雖然是從經典理論推出來的,但在量子理論中,當躍遷是從諧振子第一激發態到基態時,求出的結果也與此相同。當然,實際的原子並非諧振子,故實際原子譜線的自然寬度與上述值有所不同。
參考書目
曹昌祺著:《電動力學》,人民教育出版社,北京,1961。
J.D.傑克遜著,朱培豫譯:《經典電動力學》,下冊,人民教育出版社,北京,1980。(J.D.Jackson,ClassicalElectrodynamics,John Wiley & Sons,New York,1976)
