簡介
電磁發射器(EMLauncher),就是利用電磁力提升和推動物體,或者把物體加速到超高速(>3km/s)的裝置,由於起初僅以作武器為目的,因此又稱電磁炮(EMgun)。
第一個提出電磁發射概念並進行試驗的是挪威奧斯陸(OSLO)大學物理學教授伯克蘭(Birkeland),之後幾起幾落,歷經滄桑。直到1978年,澳大利亞國立大學R.A.馬歇爾(Marshall)博士在5m長的軌道電磁炮上把3.3g的聚碳酸脂彈丸加速到5.9km/s,從實驗上證明了電磁發射的可行性。從此,電磁發射的研究工作邁入了新階段,各軍事強國紛紛投入大量人力財力進行研究、試驗。目前美國處於領先地位。1992年美國電磁軌道炮已經走出實驗室,德克薩斯大學把2.4kg的彈丸加速到2.6km/s,其能量可用於實戰,美國正式宣布2010—2015年電磁炮將用於實戰 。
原理
電磁發射器原理電磁發射器可分為軌道型、線圈型、電熱型 。
軌道型電磁發射器原理
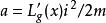
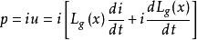
電磁發射器圖為軌道型電磁發射器原理示意圖,由兩條互相平行且被固定的長直、剛性金屬軌道和高功率脈衝電源、電樞以及發射體(如彈丸)等構成。軌道截面可以是部分圓環形(如圖),也可以是矩形;電樞位於兩軌道之間,由導電物質構成,可以是固態金屬塊,也可以是電漿,或為二者的結合;發射體位於兩軌道之間,電樞之前。合上開關,電流i通過饋電母線、軌道、電樞,沿另一條軌道構成迴路,在兩軌道之間產生磁場,電樞受磁場力被加速,推動發射體前進。
電磁發射器把軌道型電磁發射器看做電源的一個負載,由於發射過程中電樞和發射體運動,軌道發射器可以看做一個隨發射體位置x變化的電感Lg(x)和電阻Rg(x)與電樞電阻Rs的串聯(如圖),則負載的電感和電阻分別為
電磁發射器(1)
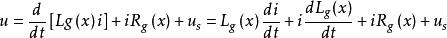
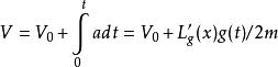
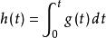
式中R0,L0分別為迴路連線的寄生電阻和電感,其值甚小,一般可忽略;L′g(x),R′g(x)分別為軌道電感和電阻對x的導數,即軌道單位長度的電感和電阻,分別稱軌道的電感梯度和電阻梯度。從圖可知電源路端電壓為
電磁發射器(2)
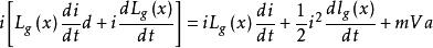
式中t表示時間,us為電樞上的電壓降。若忽略us和軌道電阻及各種能量損失,則從(2)式可知電源輸出功率為
電磁發射器(3)
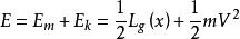
電磁發射器系統的能量為
電磁發射器(4)
Em為系統磁能,Ek,m,V分別為被加速組件的動能、質量、速度,電源輸出功率應等於系統能量增長率dE/dt,因此有
電磁發射器(5)
a為加速度。從(5)式可得被加速組件所受力為
電磁發射器(6)
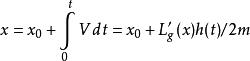
由(6)式可得被加速組件的加速度、速度和行程位置的表達式:
電磁發射器
電磁發射器
電磁發射器(7)
式中
電磁發射器
電磁發射器V0,x0分別為被發射組件注入後的初速度和初位置。若x為已知,則從(1)式可求出系統的電感和電阻,再根據(7)式採用疊代法,用計算機可模擬發射過程的特性。若採用平頂脈衝電流(視為直流I),可得到良好的一級近似:
電磁發射器
電磁發射器
電磁發射器(8)
因此,對於給定的I和m,在x0=0,V0=0的情況下,從(8)式可計算出發射體出口速度為Vm時所需加速時間τ和發射體行程X(對軌道電磁炮來說就是所需炮管的長度):
電磁發射器
電磁發射器(9)
電磁發射器
電磁發射器取,(電磁炮目前努力要達到的出口速度),I=106A(高功率脈衝電源目前可提供的電流),L′g(x)=0.5μH/m,則得τ=0.6ms,X=0.9m。以上僅是對簡單軌道電磁炮而言,為了提高其性能和實戰要求,科學家又設計了“分散饋電軌道炮”、“增強型軌道炮”、“多軌軌道炮”、“多相軌道炮”等等。
線圈型電磁發射器原理
電磁發射器圖為線圈型電磁發射器原理示意圖,若干個驅動線圈固定並分別饋以電流i1,發射體線圈攜帶電流i2,令i1,i2反向,兩種線圈相斥。設每個驅動線圈自感為L1,發射體線圈自感為L2,之間的互感為M,則一驅動線圈和發射體線圈磁能為
電磁發射器(10)
一個驅動線圈作用於發射體上的力為
電磁發射器(11)
M′(x)叫互感梯度,M′(x)正負變化時(兩種線圈由互相接近到互相遠離),力的方向發生變化。因此當i1,i2反向,發射體位於驅動線圈1中心右邊(如圖)時,驅動線圈2或者先不通電,或者讓其電流和i2同向,當發射體剛向右越過驅動線圈2中心後,再讓驅動線圈2通以和i1反向的電流……於是,發射體被一系列驅動線圈加速。對發射體線圈饋電方式,第一種是直接激勵,即用電刷滑動接觸或者電漿電弧放電使電源向發射體線圈饋電;第二種是感應激勵,即利用驅動線圈電流的變化,使被短路的發射體線圈產生感應電流,可證明感應電流和激勵電流方向相反[2],在感應激勵時,發射體線圈可以用管狀導體發射體(相當於單匝線圈)代替;第三種是自載激勵,即發射體線圈自載電流,這種電流可由裝在發射體線圈中的小電池或充電的電容器提供,也可以用事先充電的超導發射體線圈或超導管狀發射體,它還可以是高阻抗的發射體線圈通電後斷電,以時間常數保持電流。
電熱型電磁發射器
電磁發射器圖為電熱型電磁發射器原理示意圖,高功率脈衝電源通過電極向工質進行電弧放電,使工質加熱轉換成電漿,含有內能和動能的電漿可直接推動發射體運動(直熱式),也可利用電漿再加熱質量更大的低分子量輕工質(因為發射體最大極限速度和工質分子量的平方根成反比[3]),使其化學反應變成高溫氣體(含少量電漿),藉助於這些氣體推動發射體(間熱式)。
套用
軍事套用
電磁炮是電磁發射器最早、最重要的軍事套用。電磁炮有以下異乎尋常的優點:
具有高初速。火炮受氣體膨脹速度的限制,彈丸初速停留在1km/s左右,很難再有大的提高。而電磁炮只要電源功率足夠高,彈丸初速除受光速限制外可無限地提高,就目前技術水平而言,可達3km/s左右。高初速一直是兵家夢寐以求的,因為高初速能增大彈丸射程和穿甲深度,縮短射擊提前量,從而提高命中率。
射彈質量範圍大。火炮發射100kg以上彈丸比較困難,而電磁炮發射的彈丸可大可小,從幾克到幾噸、幾十噸乃至幾百噸。在彈丸動能不變的情況下可做得小而輕,這意味著裝載平台可儲存更多的炮彈;也可充當重型遠射程炮,發射制導炮彈、戰術飛彈、較重的微波彈,等等。
能源簡易。火炮,特別是液體發射藥火炮及火箭的推進劑,都是優良昂貴的燃料,運輸、使用不安全。而電磁炮使用一般的低烴類燃料作初級能源發電,安全且成本低。
受控性好。火炮是採用改變裝藥量來控制射程,而電磁炮只需簡單地控制電流,便可控制初速和射程,若精確控制初速,可發射“靈巧彈藥”。
工作性能優良。電磁炮不存在火炮那種因點火和發射藥燃燒不均勻而造成的延遲點火、突然撞擊和加速度突變等問題,電磁炮彈丸幾乎是勻加速運動,因此可發射智慧型彈藥;電磁炮不使用藥筒,無需退彈殼,無炮栓,因此裝填方便,在長管和多級電磁炮中可同時前後加速幾個彈丸,提高射速,且電磁炮無聲響、無煙塵、無炮口焰、生存力強,等等。
1.具有高初速。火炮受氣體膨脹速度的限制,彈丸初速停留在1km/s左右,很難再有大的提高。而電磁炮只要電源功率足夠高,彈丸初速除受光速限制外可無限地提高,就目前技術水平而言,可達3km/s左右。高初速一直是兵家夢寐以求的,因為高初速能增大彈丸射程和穿甲深度,縮短射擊提前量,從而提高命中率。
2.射彈質量範圍大。火炮發射100kg以上彈丸比較困難,而電磁炮發射的彈丸可大可小,從幾克到幾噸、幾十噸乃至幾百噸。在彈丸動能不變的情況下可做得小而輕,這意味著裝載平台可儲存更多的炮彈;也可充當重型遠射程炮,發射制導炮彈、戰術飛彈、較重的微波彈,等等。
3.能源簡易。火炮,特別是液體發射藥火炮及火箭的推進劑,都是優良昂貴的燃料,運輸、使用不安全。而電磁炮使用一般的低烴類燃料作初級能源發電,安全且成本低。
4.受控性好。火炮是採用改變裝藥量來控制射程,而電磁炮只需簡單地控制電流,便可控制初速和射程,若精確控制初速,可發射“靈巧彈藥”。
5.工作性能優良。電磁炮不存在火炮那種因點火和發射藥燃燒不均勻而造成的延遲點火、突然撞擊和加速度突變等問題,電磁炮彈丸幾乎是勻加速運動,因此可發射智慧型彈藥;電磁炮不使用藥筒,無需退彈殼,無炮栓,因此裝填方便,在長管和多級電磁炮中可同時前後加速幾個彈丸,提高射速,且電磁炮無聲響、無煙塵、無炮口焰、生存力強,等等。
電磁炮置於陸基作為戰術武器,可用於反坦克,戰術防空,對付敵戰略轟炸機、巡航飛彈、各種戰術彈道飛彈等;作艦載武器用,可對付低空突防的飛機和掠海飛彈;電磁炮置於天基作為戰略武器,可攔截敵方洲際彈道飛彈,摧毀敵軍事衛星,等等。電磁發射器還有其他許多軍事套用,由於它能發射大質量有效載荷,因此可安裝在航母上用來彈射飛機,其重量僅為傳統的蒸汽彈射器的1/10。也可用來彈射無人駕駛機,比目前使用的火藥和火箭彈射安全、經濟。
航天套用
電磁發射器在航天領域的套用前景絕不亞於電磁炮。目前的航天運載工具———火箭和太空梭都是使用化學推進劑,其潛力基本告罄。火箭發射的有效載荷和火箭質量比很小,且為一次性,發射成本高,綜合評估,發射1kg有效載荷需2000—8000美元;而電磁發射器可重複使用,發射成本低,每千克有效載荷僅1—1.5美元。科學家們構想先用電磁發射器把火箭加速到1.6km/s,然後火箭點火,將有效載荷加速到11km/s。
其他領域內套用
電磁發射可把物體加速到每秒十幾公里的超高速,因此可在高壓物理學中進行材料狀態方程的研究,分析材料在高壓下的性狀,還可以模擬飛彈再入和隕石墜落時的氣動特性及燒蝕狀況。在抽空的炮管中,把小彈丸加速到50—150km/s的極高速度,用其撞擊輕核燃料靶,將其動能轉變為靶的內能,以此進行超高速碰撞核聚變可能性的研究。電磁發射技術還可用於“電磁列車”,這種列車直接使用現有火車鐵軌作軌道發射器的軌道,車箱作發射體。這種列車比磁懸浮列車成本低,比傳統列車運行速度高。理論和國內外的實驗都證明電磁發射是可行的,電磁發射技術有著十分廣闊的套用前景。

