定義
分類
電感測量分為自感測量和互感測量。
內容
在電工、無線電技術中,常用導線繞製成各種形狀的線圈以獲取較強且集中的磁場。
為進一步增強磁場,還線上圈內放置鐵磁物質。這種情況下自感總是要伴隨著一定的電阻。 低頻下的自感和互感的電路模型見圖1。
圖中L代表自感,M代表互感,R代表電阻。
線性電感
當電流通過線圈時產生的磁場與電流成正比時,電感是常數,稱做線性電感。
非線性自感
當線圈內放置鐵磁物質且工作進入飽和區時,自感不是常數,稱非線性自感。
自感測量
在測自感時須將自感L與電阻R分開。
常用的自感測量方法
由三個表的讀數U、I、P 以及電源的角頻率ω ,按公式

可得到自感。如電阻R 可忽略時,P=0,只用電壓表、電流表的讀數即可根據
得到自感。此法準確度較低,但可用於測非線性自感。
②電橋法:利用經典交流電橋和有源電橋測自感。
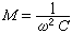
③諧振法:將電感與標準可變電容器C串聯,調節C使此電路串聯諧振於電源角頻率ω處,則由公式
得到自感。
互感測量
常用的方法
有兩表法和坎貝爾橋路法。
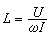
①兩表法:利用電流表和電壓表進行測量(圖2a)。
由電壓表的讀數U、電流表的讀數I以及電源角頻率ω可按公式
計算出互感。
②坎貝爾橋路法:將互感線圈與一可變標準電容器C 聯接成如圖2b所示的電路,調節C 使檢測儀表D指零時,則由公式
到得到自感。
電感測量儀
電力系統為了減小無功損耗,通常採用並聯電容器組的方法來提高功率因數。在實際套用中,電容器補償裝置事故率比較高,這是由於電容器裝置工作狀態的特點決定的。所以定期對電容器裝置檢測,早期發現電容器缺陷,避免故障擴大,是十分重要的。
而在現場電容器都是成組並聯的,所以用一般電容表需將引線拆除後才能測量,工作量大,而且容易造成接線錯誤。全自動電容電感測試儀在不拆線的狀態下,測量成組並聯著的單個電容器,同時也能夠測量電感、電阻和電流,接線方便,操作簡單,大大提高了現場測試的效率。也可避免拆裝引線帶來的出錯可能性。
電感測量儀
