介紹
在2006年,國際天文聯合會曾考慮為雙行星下個簡短的正式定義 ,以將冥王星和冥衛一包括在系統內,但是沒有得到認同。這個可以接受用來辨別是行星-衛星或雙行星的的分界點依據是這兩者共同的質心(重力中心)位於何處。如果重心不在兩者任何一個的內部,則該系統是一個雙行星系統。在這種情況下,兩個天體都環繞著自由空間中的一個點運轉。照這種定義,冥王星和冥衛一將是雙矮行星系統。
兩星體相互繞行的質量中心,如果在某一星體內部,則該星體是主星,另一星體是衛星,這一定義明確清晰,符合我們對主星直觀上感受。不過這一定義向極限情況推廣遇到困難:即使質量差距巨大的兩星球,只要相距足夠遠,質心總會離開主星表面;或者只要主星收縮得足夠緻密(白矮星、中子星甚至黑洞),質心也總會離開主星表面。
由於潮汐力,月球每年遠離地球1.5英寸(3.74公分)),目前系統的重心雖然位於地球內部,但終將移到地球之外。所以依照這樣的定義,地月系統在數十億年之後將成為雙行星。
用雙星或聯星系統的定義來作比較,如果它只取決於重心的位置,則任何一顆在環繞時重心位於母恆星內部的伴星都將被稱為是行星,而重心在母恆星外面的都將被視為另一顆恆星(伴星)。依照這樣的定義,太陽系中除了木星所有的主要行星依然還是行星。日-木重心是唯一重心在太陽表面之外的系統。然而,由於木星不是一顆恆星,所以天文學家面對的困難是需要一個明確的雙行星系統定義。
我國行星專家、中科院紫金山天文台研究員王思潮表示,如果此次國際天文學聯合會大會關於確定太陽系行星身份的提案獲得通過,太陽系中將首次出現“雙行星”,即冥王星與它的衛星卡戎星。
提案
在捷克首都布拉格召開的國際天文學聯合會大會上,一份關於確定太陽系行星身份的提案已交付參會的2500位代表,如果這個提案獲得通過,冥王星的行星身份仍將保持,但是已從大行星降為二級行星“矮行星”(dwarf planet)。與此同時,有3顆天體將榮升二級行星,它們是最大的小行星穀神星、冥王星最大的衛星卡戎星和2003年發現的2003UB313(齊娜星)。這樣,太陽系的行星由9顆增至12顆。其中有8顆是經典行星(俗稱大行星),它們是水星、金星、地球、火星、木星、土星、天王星和海王星,同時有4顆二級行星,它們是冥王星、卡戎星、穀神星和2003UB313(齊娜星)。
王思潮說,與太陽系行星數量增加同樣值得關注的是,太陽系有可能會首次確認雙行星。冥王星與它的衛星卡戎星均符合新的行星定義,二者直徑為2:1,引力中心不在冥王星內,彼此的運動猶如在天宇跳交誼舞。這樣,它們將可能是太陽系首次確認的雙行星。
王思潮說,這次大會的投票表決不管是否通過,都有很重要的意義,反映了近幾十年來人類對太陽系的認識已有質的飛躍,突破了原有的框框。太陽系邊緣有可能發現新的行星,而且還不止一個,甚至可能發現與地球同樣條件的行星,適合生命的出現。
自人類發現冥王星以來,其運行軌道就一直沒有準確的數值.雙行星概念的提出,對解決這一迷題提供了一定的科學依據.
衛星與雙星的區分
雙星的概念來源於恆星之間的相互繞行,由於恆星有很好的定義(足夠大,因而引發核聚變發光),所以不存在“衛恆星”的概念,凡是相互繞行的恆星,無論大小差異如何,都是雙星(或者三聯星等)。
然而在行星系統內,行星與衛星按照軌道區分,直接繞恆星的就是行星,繞行星的是衛星。但雙星的情形模糊了行星與衛星的區別,如果兩顆相互繞行的星球大小非常接近,毫無疑問會被歸類於雙行星;如果大小差別非常大,則小星體是衛星;而介於前兩種情況之間,即兩星體大小相當,同時差別明顯,這就產生了定義的疑難。按照一般的科學定義原則,不宜人為地給出某個比值(比如質量差別1/10)作為區分界限,而應該以某種引力、軌道相關的現象作為標準。而事實上,人們仍從直觀上認為兩者質量在同一數量級為雙行星。(即比值1/10作為心理分界)
在過去,曾經有一些辯論雙行星和行星-衛星系統之間的精確定義界限。在許多的例子中,都不是問題,因為這些衛星的質量都遠低於系統中的行星,比較特別的是地月系和冥衛系統。太陽系中所有的衛星都低於其行星或矮行星質量的0.00025(1/4000),但是,月球與地球的質量比是0.0123(1/81),而冥衛一和冥王星的質量比是0.117(約1/9)。
拔河定義
後來以撒·艾西莫夫建議區分行星-衛星和雙行星要以兩者相互拔河(較勁)的值來辨別這個量是衛星的質量相較於行星和太陽的比例,以及衛星的距離相較於與行星和太陽距離的值。
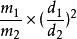
雙行星拔河值=
式中為行星質量,為恆星質量,為衛星與恆星間的距離,為衛星與行星間的距離。
以拔河圖來看,土星最大的衛星土衛六(蒂丹)的值是380,它的意思是土星對土衛六的的引力比太陽對土衛六的引力大了380倍。
除了冥王星和冥衛一之外,艾西莫夫的拔河圖有所有的行星和一些衛星的數值,因為當時對冥王星及其衛星的所知還不夠多。他指出,即使是那些被認為是被木星捕獲的外圍衛星,木星對它們的約束力也僅是比太陽強一些。然而只要拔河值仍然大於1,太陽就會失去對這些天體的約束,而由行星控制著。
對地球的衛星月球,太陽確實贏得了拔河,地球的拔河值僅有0.46,這意味著地球對月球的約束力只有不到太陽的一半。由太陽對月球的重力是地球的兩倍,艾西莫夫推論地球和月球必須是一個雙行星系統。這事實上也是他在許多本著作中指出月球應該是顆行星,而不是地球的衛星的主要原因。
我們必須正視月球,因為將之視為地球的衛星或是捕獲物是不準確的,而應該如同地球一樣是顆行星,一起繞著太陽。更明確的說,在地月系統之內,最簡單的描述方法就是月球繞著地球運轉;但是,如果以正確的尺度描繪地球和月球繞行太陽的圖,你會看到月球軌道無處不是凹向太陽的,即它總是朝向太陽下墜。其它所有的衛星都無例外,通過它們軌道的任何一部分,都是漂離太陽的,它們都不同於我們的月球,取得主導權的是它們的行星。—— Isaac Asimov
不過,拔河定義也存在一些與我們對雙星直觀認識不一致的地方:它把衛星或伴星的軌道位置作為判斷的主要標準,使得某些顯然的雙星(或衛星)被歸入相反的類別。比如兩個幾乎相同大小的星體,在遠離太陽的地方相互緊密繞行,太陽在拔河中顯然處於弱勢;再比如在與月球有相同軌道高度的人造衛星,它們的拔河值和月球相同,但把它們當作與地球相當的伴星體顯然存在困難。

