結構及性質
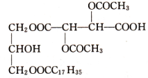
雙乙醯酒石酸單DATEM的全稱為雙乙醯酒石酸單(雙)甘油酯。當用飽和脂肪酸時它是一種白色或淡黃色粉狀固體,熔點45℃;當用不飽和脂肪酸時它是黃色膏體或粘稠液體。 國內代碼:10.010, 歐洲代碼為E472e,INS編碼472e,許多國內外資料中也將其簡稱為DATA酯。國內常見的狀態是乳白色粉末或顆粒狀固體,pH值呈弱酸性,pH值4左右,熔化範圍約在45℃左右,HLB值8.0-9.2,具有特殊的乙酸氣味,能夠分散於熱水中,能與油脂混溶,溶於乙醇、丙二醇等有機溶劑,屬非離子型乳化劑。
安全性:FAO/WHO(1985)規定,ADI值為0—50mg/kg,小鼠經口LD50 >10g/kg,美國食品和藥品管理局
(1985)認定為GRAS 物質(一般公認安全物質)。
因為DATEM吸濕性大,細粉在夏季高溫潮濕(或儲存不當)時特別容易結塊,通常製成粒狀或將細粉於20%的抗結劑混合。
特性及套用
本品具有較強的乳化、分散、防老化等作用,是良好的乳化劑和分散劑。
1、能有效增強麵團的彈性,韌性和持氣性,減少麵團弱化度。增大麵包、饅頭體積、改善組織結構。
2、與直鏈澱粉相互作用,延緩和防止食品的老化。
3、用於稀奶油,可使產品滑潤細膩。
4、用於黃油和濃縮黃油,防止油份析出,提高穩定性。
5、還可用於糖和糖漿及香辛料。
6、用於植脂末可使產品乳液均一穩定,口感細膩。
使用方法
1、將本品加入到60℃左右的溫水中,製成膏狀後,再按適當比例加入使用。
2、將本品先與油脂溶勻後,再進行進一步加工。
3、將麵粉與本品直接混合均勻使用。
建議添加量
生乾麵製品、生濕麵製品最大添加量1.0%,植脂末最大添加量5.0%,稀奶油、原味發酵乳可按生產需要適量使用。
質量指標(參照FCCⅣ標準)
酸值(mgKOH/g)
62-76
皂化值(mgKOH/g)
380-425
重金屬(以Pb計)%
≤0.0010
砷(以As計)%
≤0.0003
貯運
密封貯存在低溫、乾燥、陰涼通風處,防雨防曬。嚴禁與易燃易爆、有毒有害的物質混貯混運。產品未開封貯期十二個月。
