定義
在數值分析這個數學分支中, 雙三次插值(英語:Bicubic interpolation)是二維空間中最常用的插值方法。在這種方法中,函式 f在點 ( x, y) 的值可以通過矩形格線中最近的十六個採樣點的加權平均得到,在這裡需要使用兩個多項式插值三次函式,每個方向使用一個。
雙三次插值又叫雙立方插值,用於在圖像中“插值”(Interpolating)或增加“像素”(Pixel)數量/密度的一種方法。通常利用插值技術增加圖形數據,以便在它列印或其他形式輸出的時候,能夠增大列印面積以及(或者)解析度。
目前有不同的插值技術可供選用。雙立方插值通常能產生效果最好,最精確的插補圖形,但它速度也幾乎是最慢的。“雙線性插值”(Bilinear interpolation)的速度則要快一些,但沒有前者精確。在商業性圖像編輯軟體中,經常採用的是速度最快,但也是最不準確的“最近相鄰”(Nearest Neighbor)插值。其他一些插值技術通常只在高檔或單獨套用的程式中出現。
顯然,無論技術多么高級,插補過的數據肯定沒有原始數據準確。這意味著對一個圖形檔案進行插值處理後,雖然檔案長度增加了(數據量增大),但不會有原先那幅圖銳利,可能會在圖形質量上打折扣。
屬性
通過雙三次插值可以得到一個連續的插值函式,它的一階偏導數連續,並且交叉導數處處連續。
公式
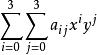
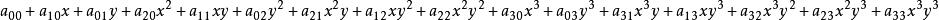
雙三次插值通過下式進行計算:
雙三次插值或者用一種更加緊湊的形式,
雙三次插值
雙三次插值
雙三次插值
雙三次插值
雙三次插值計算係數的過程依賴於插值數據的特性。如果已知插值函式的導數,常用的方法就是使用四個頂點的高度以及每個頂點的三個導數。一階導數與表示 x 與 y 方向的表面斜率,二階相互導數表示同時在 x 與 y 方向的斜率。這些值可以通過分別連續對 x 與 y 向量取微分得到。對於格線單元的每個頂點,將局部坐標(0,0, 1,0, 0,1 和 1,1) 帶入這些方程,再解這 16 個方程。
套用
雙三次插值算法經常用於圖像或者視頻的縮放, 它能比占主導地位的雙線性濾波算法保留更好的細節質量。

