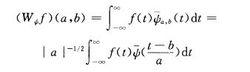
用途
縮小圖像(或稱為下採樣(subsampled)或降採樣(downsampled))的主要目的有兩個:1、使得圖像符合顯示區域的大小;2、生成對應圖像的縮略圖。
放大圖像(或稱為上採樣(upsampling)或圖像插值(interpolating))的主要目的是放大原圖像,從而可以顯示在更高解析度的顯示設備上。對圖像的縮放操作並不能帶來更多關於該圖像的信息, 因此圖像的質量將不可避免地受到影響。然而,確實有一些縮放方法能夠增加圖像的信息,從而使得縮放後的圖像質量超過原圖質量的。
除了為了適應顯示區域而縮小圖片外,圖像縮小技術更多的是被用來產生預覽圖片。圖像放大技術一般被用來令一個較小的圖像填充一個大的螢幕。當你放大一張圖像時,你不能可能獲得更多的細節,因此圖像的質量將不可避免的下降。不過也有很多技術可以保證在放大圖像即增加像素的時候,圖像的質量不變。
縮放算法
假設源圖像如下圖所示:
圖1 原圖像要將該圖像放大兩倍,可以有很多種算法,最簡單的方法為鄰域插值,即將每一個原像素原封不動地複製映射到擴展後對應四個像素中:
這種方法在放大圖像的同時保留了所有的原圖像的所有信息,但是會產生鋸齒現象。
雙線性插值的效果對於放大的圖像而言較領域插值來得平滑,但是卻使得圖像變得模糊而且仍然會有一部分鋸齒現象。
雙三次插值更好比雙線性插值更好。
對於低解析度或顏色很少的(通常是從2到256色)圖像的放大問題,效果最好的算法是hq2x算法或類似的縮放算法。這些算法將會產生銳邊並保留大量的細節,其效果如下:
對於照片(以及有許多色階的光柵圖像)的縮放算法可以參看一種被稱為超採樣(supersampling)的反鋸齒算法。
放大算法
圖像放大幾乎都是採用內插值方法,即在原有圖像像素的基礎上在像素點之間採用合適的插值算法插入新的元素。
插值算法分類
對插值算法分類比較混亂,各人有各人的分類算法。文獻《圖像插值技術綜述》 中簡略的將插值算法分為傳統插值、 基於邊緣的插值和基於區域的插值3類,作為初學者入門明晰插值算法還是有幫助。
1.傳統差值原理和評價
在傳統圖像插值算法中,鄰插值較簡單,容易實現,早期的時候套用比較普遍。但是,該方法會在新圖像中產生明顯的鋸齒邊緣和馬賽克現象。雙線性插值法具有平滑功能,能有效地克服鄰法的不足,但會退化圖像的高頻部分,使圖像細節變模糊。在放大倍數比較高時,高階插值,如雙三次和三次樣條插值等比低階插值效果好。這些插值算法可以使插值生成的像素灰度值延續原圖像灰度變化的連續性,從而使放大圖像濃淡變化自然平滑。但是在圖像中,有些像素與相鄰像素間灰度值存在突變,即存在灰度不連續性。這些具有灰度值突變的像素就是圖像中描述對象的輪廓或紋理圖像的邊緣像素。在圖像放大中,對這些具有不連續灰度特性的像素,如果採用常規的插值算法生成新增加的像素,勢必會使放大圖像的輪廓和紋理模糊,降低圖像質量。
2.基於邊緣的圖像插值算法
為了克服傳統方法的不足, 提出了許多邊緣保護的插值方法,對插值圖像的邊緣有一定的增強, 使得圖像的視覺效果更好, 邊緣保護的插值方法可以分為兩類: 基於原始低分辨圖像邊緣的方法和基於插值後高解析度圖像邊緣的方法。基於原始低解析度圖像邊緣的方法 :(1)首先檢測低解析度圖像的邊緣, 然後根據檢測的邊緣將像素分類處理, 對於平坦區域的像素,採用傳統方法插值;對於邊緣區域的像素, 設計特殊插值方法, 以達到保持邊緣細節的目的。(2)基於插值後高解析度圖像邊緣的方法這類插值方法 :首先採用傳統方法插值低解析度圖像,然後檢測高解析度圖像的邊緣,最後對邊緣及附近像素進行特殊處理, 以去除模糊, 增強圖像的邊緣。
3.基於區域的圖像插值算法
首先將原始低解析度圖像分割成不同區域,然後將插值點映射到低解析度圖像, 判斷其所屬區域, 最後根據插值點的鄰域像素設計不同的插值公式, 計算插值點的值。
主流插值算法
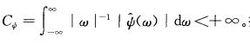
上述文獻所闡述的分類方法可以參考,但文獻闡述的方法過於狹隘,都是線上性方法上的基礎做改良。偏微分方程插值(PDE),分形,小波逆向插值這三種也是插值算法的主流之一。小波與分形算法計算複雜度高,效果較好,小波邊緣處理最好,分形次之。
小波插值充分利用 了圖像奇異特徵沿小波分解尺 度的傳播性 , 能夠更準確地重建出高解析度圖像細節。 但由於小波係數奇異值 的定位涉及精確複雜的邊緣檢 測且小波係數很難跨 尺度對準, 使得算法實現十分複雜。基於小波插值 的算法主要有兩種, 分別為子帶插值 和極值外推插值。小波變換本質上是用小波函式作為
帶通濾波器進行濾波, 將原始信號分解為一系列頻帶上 的信號由小波函式簇定義小波變換為: 小波插值公式1。
小波插值公式1而小波逆變換則是從分解到各頻帶 的信號進行原
始信號的重構 :小波插值公式2
小波插值公式2
小波插值公式3小波插值公式3:推廣出二維離散小波變換, 對數字圖像進行重構和插值。 如果圖像 是空間頻率有限的二維信號, 對圖像進行相應頻窗的小 波反變換得到的圖像就可認為是對該圖像的插值。
分形圖像是一種具有複雜幾何形狀,不規則的圖像 ,但其內部基本特徵是自相似性 ,它反映了局部與局部 ,局部與整體在形態、 功能、 時空等方面具有統計意義的相似性.提高圖像解析度的簡單有效的方法是進行內插 ,但經通常的內插後 ,圖像的紋理特徵會有損失 ,利用分形插值方法可以生成高解析度的圖像 ,而且能保持原來圖像的紋理特徵。

