光學描述
全反射和隱失波示意圖在光線從光密介質向光疏介質入射,同時入射角大於臨界角時,折射光消失,發生全內反射。在界面的光疏介質一側產生縱向的隱逝波,如右圖所示。
隱逝波和正常的光波不同,不是可以傳播的電磁場,不攜帶能量,入射光的能量100%被界面反射。隱逝波的電磁場在進入第二介質後大約經過光波波長數量級的長度就幾乎完全衰減(參看數學描述部分)。從電磁場的連續條件來看,隱矢波的存在是必然的。因為電場和磁場不會再兩介質的界面上突然中斷,第二介質中應有透射波存在,並具有特殊的形式,這就是隱失波。
數學描述
按上圖所示,界面處於x-y平面內,入射光線位於x-z平面內,則隱逝波的強度I在z方向並且按指數衰減的形式逐漸減小。這種衰減的快慢由特徵距離d表示。而d的大小和介質兩側物質的折射率n1,n2,光線的入射角θ,波長λ有關,一般在一百納米左右,具體數學形式如下:
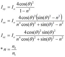
隱失波的強度變化公式如果考慮光的偏振性質,可以解析得到,各向同性的光入射後,其隱失波在空間三個方向(y,x 和 z)上的相對強度 :
隱失波的偏振形式