物體在流體中作加速運動時,總要促使一部分流體也作加速運動,因而所需的作用力必須增大,即相當於物體的質量增大,這個相當於物體增大的質量稱為附連質量。如果無粘性不可壓縮流體沒有流動分離,則附連質量僅取決於流體的密度、物體的形狀和運動方向。
設物體的質量為m,作用在物體上的力為F,加速度為a,物體在真空中運動時,關係式如下: 在流體中運動時,關係式變為: ,
附連質量在流體中運動時,關係式變為:
F=(m+△m)a,
式中△m就是由於周圍流體跟隨物體一起運動所增加的附連質量。
附連質量
附連質量
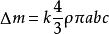
附連質量附連質量可用理論方法或實驗方法確定。下面是用理論方法導出的幾種物體的附連質量公式:①一個很長的圓柱體沿垂直於軸的方向運動時,可按平面流動來處理,這時單位長度圓柱體的附連質量為,式中ρ為流體中運動時,R為圓柱截面的半徑。②一個圓球在流體中運動時,其附連質量為,式中R為球的半徑。③一個橢球在流體中運動時,其附連質量為,式中a、b、c為橢球的三根半軸長;к為附連質量係數。對於迴轉橢球體,b=c,並設a>b,則沿a軸向(縱向)運動時к=к1;沿b軸向(橫向)運動時к=к2。к1、к2的數值見表。 由此可見,當物體在空氣中運動時,由於空氣密度很小,附連質量通常可以忽略不計,但物體在其他流體中運動時,附連質量是不可忽略的。
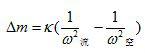
確定物體附連質量的實驗方法是通過測量來比較物體在空氣中和其他流體中的振盪頻率。固定在彈簧或其他彈性元件下面的物體在空氣中振盪時,因空氣密度小,附連質量可忽略不計,故物體振盪的固有頻率ω為:
附連質量式中k為彈簧剛度。當物體在其他流體中振盪時,由於有附連質量Δm,其固有頻率ω為:
附連質量由實驗測得ω和ω後,便可由下式算得附連質量:
附連質量研究物體的不定常運動,例如船舶在波浪中的振盪,飛彈的撞水和入水,水上飛機在水面上的起飛和降落等等,都必須考慮和計算附連質量。

