結構原理
其基本結構為在跨過定滑輪的輕繩兩端懸掛兩個質量相等的物塊,當在一物塊上附加另一小物塊時,該物塊即由靜止開始加速滑落,經一段距離後附加物塊自動脫離,系統勻速運動,測得此運動速度即可求得重力加速度。一個理想的阿特伍德機包含兩個物體質量 m和 m,及由無重量、無彈性的繩子連結並包覆理想且無重量的滑輪。 當m=m,機器處於力平衡的狀態。當m>m,兩物體皆受到相同的等加速度。
使用範圍
阿特伍德機可以用來證明牛頓第二定律。
等加速度的方程式
阿特伍德機我們可以藉由分解力的方法得到一個加速度的方程式。如果繩子無重量、無彈性,滑輪理想(無視半徑)且無重量,那么我們只需要考慮 張力( T),還有 兩個物體的重量( mg)。再來為了找出合力(),必須先找出個別影響兩物體的力。
阿特伍德機m的力:。
阿特伍德機m的力:。
阿特伍德機
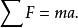
阿特伍德機利用牛頓第二定律,我們可以得到整個系統的等加速度方程式。
阿特伍德機
阿特伍德機
阿特伍德機阿特伍德機有時候也被用來說明拉格朗日力學中獲得的運動方程式。
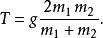
張力的方程式
上述的方程式也可用來計算繩子上的張力,只需要將得到的等加速度方程式代入兩物體的力方程式之一中。
阿特伍德機
阿特伍德機例如代入,我們得到
阿特伍德機
阿特伍德機藉由同樣的方法,張力也可以從中求得。
非理想的滑輪
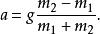
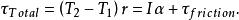
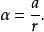
若 m與 m之間的重量差距很小時,滑輪的半徑( r)造成的轉動慣量( I)則不可以被忽略。
滑輪的角加速度可以從以下算式求得:
阿特伍德機在此情況下,系統的總力矩為:
阿特伍德機
