相關介紹
無阻尼運動
機械振動按振幅的變化可分為阻尼振動(減幅振動)和無阻尼振動(等幅振動).
物體做無阻尼振動僅指其振幅大小不變,物體作簡諧運動時,只受回復力的作用,不受任何阻力,不對外做功,系統沒有能量輸出、輸入,總能量守恆,振幅保持不變,這是一種無阻尼的自由振動.
另外一種是受迫等幅振動.物體在振動的過程中有能量的輸出(損耗),系統又從外界輸入了能量,正好補償了在振動過程中所輸出(損耗)的能量.這種振動系統的能量和振幅都保持不變.這種無阻尼運動並不是不受阻力。
能量的減少
能量減少的方式有兩種:
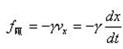
一種是由於摩擦阻力的作用使振動系統的能量逐漸轉化為熱運動的能量.例如單擺擺動的過程中振幅減小或停下來就是由於系統的阻力作用使擺的機械能轉化為空氣的內能.
另一種是振動系統引起周圍物質的振動,使能量以波的形式向四周發出.例如:琴弦發出聲音不僅因為有空氣的阻力要消耗能量,同時也因為以波的形式輻射而減少能量.最後琴弦會停止振動.
當阻尼很小時,在一段不太長的時間看不出振幅有明顯的減小,就可以把它當作簡諧運動來處理.
動力學方程
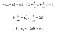
假設振動幅度較小時,摩擦力正比於質點的速率,套用牛頓第二定律,我們可以得到阻尼振動的動力學方程。
動力學方程
如圖,以液體中的彈簧振子為例,介紹阻尼振動的動力學方程。
阻尼振動假設:振動速度較小時,摩擦力正比於質點的速率。即:
阻尼振動對物塊套用牛頓第二定律:
阻尼振動為二階線性常係數齊次方程,即阻尼振動的動力學方程。
振動方程的三種解
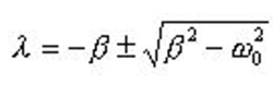
上述⑴式方程的特徵根:
阻尼振動阻尼振動的微分方程有三種不同形式的解,具體如下。
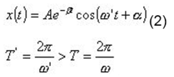
欠阻尼
阻尼振動
阻尼振動即:
,則 :
阻尼振動解為:
阻尼振動說明振動變慢(由於阻力作用)
阻尼振動振幅為
隨時間的推移,
呈指數遞減, 越大,振動衰減越快;
越小,振幅衰減越慢。
定義:
阻尼振動表示阻尼大小的標誌,稱對數減縮,即經過一個周期後,振幅的衰減係數。
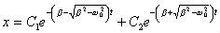
過阻尼
阻尼振動
阻尼振動即:
,則方程的解為:
阻尼振動⑶
阻尼振動其中:
、
由初始條件決定。
隨時間的推移,質點坐標單調地趨於零。質點運動是非周期的,甚至不是往復的。將質點移開平衡位置後釋放,質點便慢慢回到平衡位置停下來,即過阻尼狀態。
臨界阻尼
阻尼振動
阻尼振動即:
,則方程的解為:
阻尼振動
阻尼振動其中:
、
由初始條件決定。
此種狀態,質點仍不往復運動。由於阻力較前者小,質點移開平衡位置釋放後,質點很快回到平衡位置並停下來。 如圖示。
套用
例如:天平的指針最好處於臨界阻尼狀態。(理想)
電流表、電壓表的指針最好處於臨界阻尼狀態,有時處於欠阻尼狀態。

