歷史由來
開爾文電橋:1862年英國的W.湯姆孫在研究利用單臂電橋測量小電阻遇到困難時,發現引起測量產生較大誤差的原因是引線電阻和連線點處的接觸電阻。這些電阻值可能遠大於被測電阻值。因此,他提出了橋路,被稱為湯姆孫電橋。後因他晉封為開爾文勳爵,故又稱開爾文電橋。
實驗原理
雙臂電橋正是把四端引線法和電橋的平衡比較法結合起來精密測量低電阻的一種電橋。
開爾文電橋把四端接法的低電阻(如待測低電阻和比較臂低電阻)接入原單臂電橋,如圖9所示。
這樣就多了一臂,最後就演變成為圖10的雙臂電橋的電原理圖,從原理圖中易見:為了進一步考慮有關引線電阻和接觸電阻的影響,而接入電阻R和R,而且它們的值務必大於10Ω。且為考慮電橋平衡時R/R與R/R的差別對測量結果的影響,使分流電流I值較小,我們就用小於0.001Ω的粗導線R來連線電阻R和R。為增加靈敏度,加接一放大電路,使不平衡電流I,通過放大後再由檢流計指示。
當電橋達到平衡時,通過檢流計中的電流,I=0說明C,D兩點電位相等,設計時R、R、R、R均遠大於附加引線和接觸電阻,根據基爾霍夫第二定律,可以得出下列方程組:
開爾文電橋
開爾文電橋
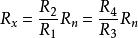
開爾文電橋可解得
開爾文電橋
開爾文電橋在電橋製造時,我們總是使在電橋調節平衡過程中保持,由上述結果可知,這時被測電阻即為:
開爾文電橋
開爾文電橋
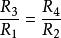
開爾文電橋為了保證電橋在調節平衡過程中,,通常都採用兩個機械聯動轉換開關,同時也就一定在相等的比率這樣電橋有個兩個比率臂,故有雙臂電橋之稱。
為什麼利用雙臂電橋測量低電阻時能夠排除或減小接線電阻和接觸電阻對測量結果的影響?
①由圖10所示:被測電阻R和標準電阻R之間用阻值小於0.001Ω的粗導線接線使分流電流I值較小,從上式可以看出,即使有很小的差別,被測電阻總是按上進行計算。這樣就減少了這部分電阻和接觸電阻對測量結果的影響。
②R和R與電源連線的接線電阻,C和C的接觸電阻,只對總的工作電流I有影響,而對電橋的平衡是無影響的,所以,這部分導線電阻和接觸電阻對測量結果也是沒影響的。
③電位接頭P、P、P、P的接觸電阻以及導線電阻包括在相應的橋臂支路;由於電阻R,R,R,R都選擇在10Ω以上,接觸電阻和導線電阻同這個數值比較起是微不足道的,所以對測量結果的影響也極微小。這樣就減少了這部分接觸電阻和導線對測量結果的影響。

