敘述
開世定理
開世定理
開世定理
開世定理
開世定理
開世定理開世定理的背景是圓的內切圓。設有半徑為 的一個圓 ,圓內又有四個圓 內切於圓 (如圖1所示)。如果將圓 的外公切線的長度設為 ,那么開世定理聲稱,有下列等式成立。
開世定理
開世定理可以注意到,如果四個內切的圓都退化成點的話,就會變成圓 上的四個點,而開世定理中的等式也會化為托勒密定理。
圖1證明
開世定理
開世定理
開世定理
開世定理
開世定理設大圓的圓心是點 ;四個圓的圓心分別是點 ,半徑分別是 。每個圓與大圓 的切點分別是 。
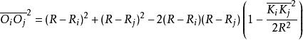
首先,根據勾股定理可以推出:對於任意的i 和j,都有
開世定理
開世定理接下來的思路是將這個公式右邊的各個長度用 來表示。
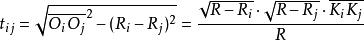
開世定理考慮三角形 ,根據三角形的餘弦定理:
開世定理
開世定理由於每個圓 都和大圓相切,所以:
開世定理
開世定理
開世定理
開世定理設點 為大圓 上的任意一點,根據三角形的正弦定理,在三角形 之中,有:
開世定理所以,餘弦式
開世定理
開世定理
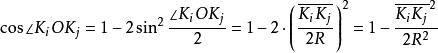
開世定理將以上 與 代入式子(2)中,就可以得到:
開世定理
開世定理
開世定理
開世定理
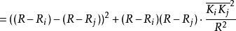
開世定理再代入式子 (1)中,就得到 的表達式:
開世定理
開世定理以上等式對所有的 i和 j都成立,因此只要注意到四邊形 是圓內接四邊形,那么對其套用套用托勒密定理就可以得到開世定理:
開世定理
開世定理證明完畢。
推廣
開世定理
開世定理可以用類似的方法證明,只要當圓與大圓相切(不論是外切還是內切),就會有類似開世定理的等式成立。這是需要註明,對任意的i 和j:
開世定理
開世定理
開世定理1、如果圓是與大圓以同樣的方式相切(都是外切或者都是內切)的話,則表示兩個圓的外公切線的長度;
開世定理
開世定理
開世定理2、如果圓是與大圓以不同的方式相切(一個是外切而另一個是內切)的話,則表示兩個圓的內公切線的長度。
另一個特點是:這定理的逆定理也成立。也就是說,如果開世定理的等式成立,那么這些圓必定以規定的方式與大圓相切。
套用
在歐幾里得幾何學中,開世定理可以用來證明多種不同的結論。比如說費爾巴哈定理的一個簡潔證明中就用到了它。
