簡介
加到被控對象的輸入信號除偏差信號外,還疊加了一個“過去的控制偏差”,該偏差是上一個周期該時刻的控制偏差。把上一次運行時的偏差反映到現在,和“現在的偏差”一起加到被控對象進行控制,這種控制方式,偏差重複被使用,稱為重複控制。經過幾個周期的重複控制之後可以大大提高系統的跟蹤精度,改善系統品質。這種控制方法不僅適用於跟蹤周期性輸入信號,也可以抑制周期性干擾。
原理
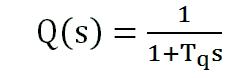
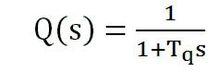
在重複控制中,一般期望重複控制作用在高頻段的增益減小。為此,在重複控制中經常加入低通濾波器
低通濾波器式中,Tq>0為濾波器的時間常數。
重複控制信號為周期性信號,其基本構造如圖所示,r為周期參考信號。套用重複控制不僅可以提高系統的跟蹤精度,還可以提高系統的魯棒性。
重複控制系統原理圖重複控制是基於內模原理的一種控制方法。所謂內模原理,即在一個閉環調節系統中,在其反饋迴路中設定一個內部模型,使該內部模型能夠很好地描述系統外部信號特性,通過該模型的作用可使系統獲得理想的指令跟蹤特性,具有較強的擾動抑制能力。內模原理的本質是將系統外部信號動態模型(即為內模)植入控制系統內以此來構成高精度的反饋控制系統,使系統能夠無靜差地跟隨輸入信號。

