簡介
醋酸纖維素市售產品可分為一般的醋酸纖維素(乙醯基含量37%~40%)。常加入增塑劑用作注塑製件如牙刷把、刷子等。高乙醯含量的醋酸纖維素(乙醯基含量40%~42%),白色粒狀、粉狀或棉狀固體。對光穩定,不易燃燒,在稀酸、汽油、礦物油和植物油中穩定,在三氯甲烷中溶脹,溶於丙酮、醋酸甲酯等,能為稀鹼液侵蝕,具有堅韌、透明、光澤好等優點,熔融流動性好,易成型加工。二氯甲烷均相法採用精製棉短絨和醋酐,以乙醯硫酸為觸媒,在溶劑二氯甲烷存在下進行酯化,部分水解,可得到結合醋酸含量在60%±0.5%範圍內的醋酸纖維素。傳統方法是將精製棉短絨乾燥,用醋酸活化,在硫酸觸媒存在下,用醋酸和醋酐混合液乙醯化,然後加稀醋酸水解到所屬之取代度,中和觸媒,沉析,脫酸洗滌,精煮乾燥得成品。經部分水解的稱二醋酸纖維素,酯化度γ值220~270。未經水解的,即酯化度γ值為300者稱三醋酸纖維素。二醋酸纖維素塑膠可做各類工具手柄、計算機及打字機的字母數字鍵、電話機殼、汽車方向盤、紡織器材零件、收音機開關及絕緣件、筆桿、眼鏡架及鏡片、玩具、日用雜品等,也可做海水淡化膜。三醋酸纖維素,其熔點高,只能配成溶液後加工,用作電影膠片片基、X光片基、絕緣薄膜電磁、錄音帶、透明容器、銀鋅電池中的隔膜等。
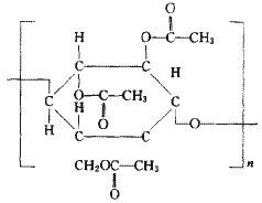
醋酸纖維素(CelluloseAcetate,以下簡寫為CA,或稱為乙酸纖維素,纖維素乙酸酯),首次製備於1865年,是纖維素的乙酸酯。CA用於照相膠片的片基,是某些黏合劑的組份之一;也用作合成纖維。
物理性質
醋酸纖維素1.手感:軟、滑、乾、舒爽、有彈性;
2.舒適性:透氣性好、芯料、乾燥快、無靜電吸附;
3、無毒、無害長期和皮膚接觸不過敏。
4.纖維狀、可塑性;
5.選擇性吸附和移除某些低含量的有機物;
6.容易用增塑劑、加熱、或加壓使之粘合在一起;
7.溶於很多種常見溶劑(特別是丙酮和其他有機溶劑),改性後可以溶於其它類別的溶劑,像水;
8.親水性:CA易濕,有很好的液體透過和優良的吸附性;在織物中,舒適、吸汗,但是當CA濕透時,強度下降;
9.比表面積大;
10.可以由新的原材料製備:木漿;
11.可以用作混合肥或者焚燒掉;
12.可以上色,不過由於CA不適用用於棉和人造絲,因此需要專門的染料和顏料;
13.抗霉;
14.在鹼性溶液和強氧化劑內易變質;
15.可以乾洗或水洗,而且通常不收縮。
化學性質
通常對水是不危害的,若無政府許可,勿將材料排入周圍環境。製備
1.將精製短棉絨乾燥後,經醋酸活化,再在醋酸催化劑存在下,與醋酸和醋酐混合液進行酯化反應,使之乙酸化,然後加稀醋酸水解。中和催化劑,使產物深沉析出,經脫酸洗淀、精煮、乾燥可得。2.將精製短棉絨乾燥後,經醋酸活化,再在硫酸催化劑存在下,與7倍於精製短棉絨的醋酸和醋酐混合液進行酯化反應,使之乙酸化,然後加稀醋酸水解到所需要的水解度(1.72~1.95)。中和催化劑,使產物沉澱析出,經脫酸洗滌、精煮、乾燥後即得一醋酸纖維素。在乙醯化反應時,改變加入的醋酸和醋酐混合液的量,可製得二醋酸纖維素和三醋酸纖維素。醋酸和醋酐混合液的量為精製短棉絨的8.5倍,反應畢加稀醋酸水解達到取代度為2.28~2.49,得到二醋酸纖維素。醋酸和醋酐混合液的量為精製短棉絨的10倍,反應畢加稀醋酸水解達到取代度為2.8~2.9,得到三醋酸纖維素。
用途
用於製藥品的腸溶衣、醋酸纖維過濾膜等,用於制醋酸纖維塑膠、醋酸纖維素過濾膜等。醋酸纖維素,根據產品的不同可以分為二醋紡絲級醋酸纖維素、二醋塑膠級醋酸纖維素、三醋酸纖維素。
1、二醋紡絲級醋酸纖維素:紡絲級產品是國際公認並且至今未找到可替代材料的無毒、無害的產品,它最重要、最主要的用途是用作過濾器材,特別是香菸過濾嘴用量非常之大,另外就是用作醫用過濾器材,如血液過濾器材等;同時它也可用於紡絲,帶有絲綢的光澤,用作高級西服服裝的稱里。
2、二醋塑膠級醋酸纖維素:主要用於製作板材、片材,主要的產品有眼鏡鏡框、高級工具手柄等。
3、三醋酸纖維素:主要用作電子薄膜,如液晶顯示器的偏光片,電影膠片、相機膠捲。

