鄰信道干擾的概念
鄰信道干擾是指相鄰的或鄰近的信道之間的干擾,又稱“鄰道干擾”。
在多信道移動通信系統中,當移動台靠近基站時,移動台發射機的調製邊帶擴展和邊帶噪聲輻射,將會對正在接受微弱信號的鄰道基站接收機產生干擾。一般來說,移動台距基站越近,路徑傳播衰減越小,則鄰道干擾越大。反之,基站發射機對移動台接收機的鄰道干擾卻不是嚴重問題。
因為這裡移動台接收的有用信號功率遠遠大於鄰道干擾功率。至於在基站的收發信機之間,因收發雙工頻距足夠大,所以發射機的調製邊帶擴展和邊帶噪聲輻射不致對接收機產生嚴重干擾。在移動台相互靠近時,同樣由於收發雙工頻距很大,不會產生嚴重干擾。
鄰信道干擾的基本原理
調製邊帶擴展
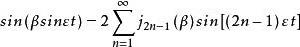
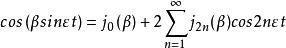
在計算發射機的調製邊帶擴展干擾時,因語音信號調頻波的頻譜分析和定量計算較為複雜。為簡化計算,可用單音調頻波的定量計算來近似,單音調頻波的表示式為:
鄰信道干擾
鄰信道干擾 式中,β——調製指數; ——調製信號頻率。
展開上式可得:
鄰信道干擾 已知
鄰信道干擾
鄰信道干擾 套用三角積化和差公式可得:
鄰信道干擾 ......
由以上展開式可見,調頻波有無窮多個邊頻分量,某些邊頻分量落入鄰道接收機的通帶之內,就會造成調製邊帶擴展干擾鄰道。設調頻波的第n次邊頻分量落入相鄰信道。
發射機邊帶噪聲
在發射機工作頻率的兩側存在噪聲,而且噪聲頻譜很寬,這種噪聲稱為發射機邊帶噪聲,它可能在數兆赫茲範圍內對接收機產生干擾。發射機邊帶噪聲的大小,主要決定於振盪器、倍頻器的噪聲,IDC電路和調製電路的噪聲及電源的脈動、脈衝信號等引起的噪聲。
振盪器的噪聲主要考慮相位噪聲。我們知道,有源器件的噪聲將會造成振盪器輸出信號的相位抖動,這就是相位噪聲。噪聲電平的大小可用噪載比來表示,它取決於有源和無源元器件的性能和電路參數。
為了減小發射機噪聲干擾,首先應設法減小發射機本身的邊帶噪聲。如減小倍頻次數;降低振盪器的噪聲,電源去藕,儘量少採用低電平工作的電路及高靈敏度的調製電路等。其次,從系統設計上應採取減小發射機邊帶噪聲干擾的措施。如在發射機輸出端插入高Q帶通濾波器或增大各工作信道的頻距,移動台發射機採用自動功率控制等。
