定義
部分分式分解或 部分分式展開,是將有理函式分解成許多次數較低有理函式和的形式,來降低分子或分母多項式的次數。分解後的分式需滿足以下條件:
•分式的分母需為不可約多項式(irreducible polynomial)或其乘冪。
•分式的分子多項式次數需比其分母多項式次數要低。
例子
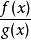
部分分式分解分解後二分式的分母均為不可約多項式,分子次數比分母低,符合上述的條件。簡單來說,部分分式分解的目的是將以下型式的有理函式:
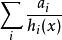
部分分式分解其中 f和 g均為多項式,轉換為以下的型式
部分分式分解其中 h是 g( x) 的因式,次數較 g( x)要低。因此一般會對 g( x)作因式分解以得到所有的因式 h。
部分分式分解和有理函式相加的作用恰好相反:數個有理函式相加後,會變成一個有理函式,但分子及分母都比原來的次數要高;而部分分式分解會將一個有理函式變為數個分子及分母次數較小的有理函式。
部分分式分解的主要目的是將有理函式變為數個較簡單的有理函式,配合線性運運算元處理時會比較方便。因此可以簡化有理函式導數、反導數、積分、冪級數展開、傅立葉級數、留數或其他線性函式轉換的計算。可以先針對每一個較簡單的有理函式進行處理,之後再相加得到結果。例如部分分式積分法就依此方式計算反導數。
部分分式分解的結果會是許多分母為“不可約多項式”。不過什麼樣的多項式不可約,則是依使用標量所在的域來決定。例如若只允許實數的標量出現,不可約多項式則為一次或二次的多項式;若允許複數的標量出現,則所有不可約多項式則都為一次多項式;若只允許整數或其他有限體的標量,有些二次以上的多項式也可能是不可約多項式。
此處我們舉一個具體例子:
部分分式分解利用部分分式分解下面式子:
分母分裂成:
部分分式分解所以得到部分分式,設常數A和B:
部分分式分解使等式左側等於1:
部分分式分解代X =-3到這個方程得出A =-1/4,再代入X =1得到B =1/4,從而求得:
部分分式分解