陳述
達朗貝爾判別法
達朗貝爾判別法
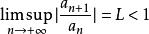
達朗貝爾判別法設為無窮級數,其中每一項都是不為0的實數或複數,如果(裡面的項為複數時就是取模),則
達朗貝爾判別法若,級數絕對收斂。(裡面的項為複數時就是取模)
達朗貝爾判別法
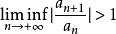
達朗貝爾判別法若(包括發散到的情況),級數發散。
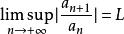
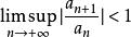
達朗貝爾判別法若非以上兩者, 即時,級數可能收斂也可能發散。
證明
達朗貝爾判別法
達朗貝爾判別法
達朗貝爾判別法
達朗貝爾判別法
達朗貝爾判別法
達朗貝爾判別法
達朗貝爾判別法
達朗貝爾判別法
達朗貝爾判別法
達朗貝爾判別法
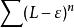
達朗貝爾判別法設。選取使得。對充分大的,有。所以時,有。然後,。考慮,這是一個公比在0與1之間的無窮等比級數,所以收斂。由比較審斂法,知收斂,即絕對收斂。
達朗貝爾判別法
達朗貝爾判別法
達朗貝爾判別法
達朗貝爾判別法
達朗貝爾判別法
達朗貝爾判別法
達朗貝爾判別法
達朗貝爾判別法
達朗貝爾判別法若,則選取使得。對充分大的,時,有。然後,。考慮,其公比大於1,故發散。由比較審斂法,知發散。
達朗貝爾判別法
達朗貝爾判別法
達朗貝爾判別法
達朗貝爾判別法
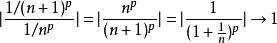
達朗貝爾判別法最後,考慮p級數,。又因為p級數當時收斂,時發散,所以可能收斂也可能發散。
