定義
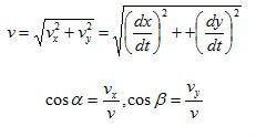
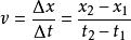
速度 (velocity) 表征動點在某瞬時運動快慢和運動方向的矢量。在最簡單的勻速直線運動中,速度的大小等於單位時間內經過的路程。速度的常用單位有:厘米/秒,米/秒。千米/小時等。速度的大小也稱速率。動點Q作一般空間運動時,位移Δr和所用時間Δt的比,稱為Δt時間內的平均速度,記為v,
速度[物理量]
速度[物理量]
速度[物理量] 平均速度的方向即位移的方向(圖1)。當時間間隔Δt趨於零時,平均速度的極限稱為動點在t時的瞬時速度, 簡稱速度,記為v:
因而可給出速度的一般定義:速度是動點矢徑對時間的導數,其方向同軌跡的切線方向一致。
速度[物理量] 以某定點P為起點,畫出隨時間變化的速度矢量,它們的端點在空間繪出的曲線稱為速端圖。它給出速度矢量變化情況的清晰圖象(圖2)。
速度在各坐標系中的表示方法如下:
直角坐標系
可用於表示點的空間曲線運動、平面曲線運動和直線運動的速度。
①空間曲線運動
速度[物理量] 式中v為速度的模v、v、v為動點速度v在直角坐標系x、y、z軸上的投影,
速度[物理量] 為動點位置坐標對時間的導數;α、β、γ為速度矢量v與坐標軸x、y、z的夾角。
②平面曲線運動
速度[物理量] ③直線運動
速度[物理量] 速度v等於坐標對時間的導數,是一代數量,正值表示速度方向沿x軸正向,負值表示沿x軸反向。
極坐標系
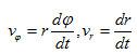
可用於表示點的平面曲線運動的速度。速度v在極坐標中可分解為橫向速度v和徑向速度v;
速度[物理量] 它們都是代數量。v為正時,表示它指向φ增加的方向;v為正時表示它指向r增加的方向(圖3)。
速度[物理量] 球坐標系
可以用於 表示點的空間曲線運動的速度。速度v在球坐標系(r、φ、θ)中可表示為三個投影(圖4)
速度[物理量] 柱坐標系
可用於表示點的空間曲線運動的速度。速度在柱坐標系 (r、φ、z)中可表示為三個投影(圖5):
速度[物理量] 物理術語
速度是描述物體運動快慢和運動方向的物理量,定義為位移與發生這個位移所用的時間之比。
速度是矢量。
國中的定義:把路程與時間之比,叫做速度。高中的定義:速度等於位移和發生位移所用時間的比值。 符號:v【註:希臘字母υ表示另一物理量“位移”】 定義式:v=s/t。在國際單位制中,基本單位:米/秒(m/s) 物理意義:速度是描述物體運動快慢的物理量。 性質:矢量。國際單位制中,速度的量綱是LT^(-1),基本單位為米每秒,符號m/s。 最大值:真空光速c=299 792 458m/s。 相關名詞速率:速度的大小叫做速率,常叫做速度。運動物體在某一時刻(或某一位置)時的速度,叫做瞬時速度。
公式
【中學物理定義式】
國中公式
v=s /t
高中公式
速度[物理量] 速度是描述質點運動快慢和方向的物理量,等於位移和發生此位移所用時間的比值。在勻速直線運動中,物體在單位時間內通過的路程叫做速度。
【大學物理定義式】
v=d s/dt
速度是描述質點運動快慢和方向的物理量,等於位移對時間的微分。同時也等於加速度對時間的積分。
【符號解釋】
v:速度矢量,單位:m/s
s:位移矢量,單位:m
t:時間,單位:s
單位
速度在國際單位制的最基本單位是米每秒 ,國際符號是 m/s,中文符號是 米/秒。
常用單位: 千米/時,國際符號是 km/h。
單位換算:1 m/s=3.6 km/h。
相關名詞
速率
瞬時速度的數值大小叫做瞬時速率。但平均速率不是平均速度的大小,而是路程與時間的比值。
瞬時速度
是運動的物體在經過某一個位置,或在某一個時刻的速度。也可以說它是指運動物體經過某一點或在某一瞬時的速度。速度公式 v=ds/dt,它是對物體運動情況的一種細緻描述。
平均速度
物體通過的位移和所用時間的比值,叫做平均速度(無論做任何形式的運動)。是物體位移跟發生這個位移所用的時間間隔之比, 速度公式 v=s/Δt只能大體反應變速運動物體的快慢,它是對物體運動情況的一種粗略描述。
在勻速直線運動中,平均速度與瞬時速度相等。
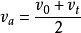
速度[物理量] 在勻加速直線運動中,平均速度的大小與初速度和末速度的平均值相等,也等於中間時刻的瞬時速度。即: 。
補充說明
1、物理上的速度是一個相對量,即一個物體相對另一個物體(參照物)位移在單位時間內變化的的大小。
2、物理上還有平均速度:物體通過一段位移和所用時間的比值為物體在該位移的平均速度,平時我們說的多是瞬時速度。
3、平時我們形容單位時間做的某種動作的快慢或多少時也會用到速度。比如:打字速度、翻譯速度。
4、速度是矢量,無論平均速度還是瞬時速度都是矢量。區分速度與速率的唯一標準就是速度有大小也有方向,速率則有大小沒方向。
部分動物奔跑速度。
下面是一些常見的動物奔跑速度,為平均速度,以上多少公里皆為每小時的奔跑速度。
論速度在音樂形象中的作用
速度,不僅是快慢,而且在音樂中代表著很重要的意義,一首曲子中,哪個部分該用多快的速度來演奏,哪個部分該用多慢的速度演奏,才是真正樂曲所需要的速度。假如一段旋律本該用60的速度吹奏,卻用120的速度來吹奏,那么吹出來的效果就可想像了。速度還可以代表某一句中某個音的處理手法中技巧的快慢。比如一個指顫音到底該打多快,一個花舌到底該吹出多快的跳躍性等等,通常情況下,樂曲中會標明“慢板”“快板”或者“中速”等等,而最難把握的地方其實是一些樂曲中的自由部分,對於吹奏嗩吶來說,技巧可以練,但如何把握一段沒有標記速度的旋律是很困難的。其實並沒有嚴格的要求說自由的旋律該怎么處理,就看個人的音樂理解和處理風格是什麼樣子的。我在平時的吹奏中,接觸了好多開頭或中間部分為自由速度的曲子,不同風格的樂曲在處理自由節奏的時候速度的把控是不同的。
運動速度
常見運動
| 運動類型 | 速度v | 單位 |
| 人步行的速度 | 1- 2 | m/s |
| 腳踏車行駛 | 4- 6 | m/s |
| 汽車高速行駛 | 100-120 | km/h |
| 噴氣式客機 | 800-900 | km/h |
| 第一宇宙速度 | 7.9 | km/s |
| 電磁波 | 300000 | km/s |
速度極限
光在真空中的速率是299,792,458米/秒,約3×10ˆ5千米/秒,是已知的速度上限。
(由愛因斯坦提出:沒有任何物體的速度能超越光速。)
速度之最
如果按比例放大的話,世界上速度最快的動物是一種名字叫"虎蛺"的昆蟲,放大到質量和人一樣,它的時速可以達到400多公里每小時。
1.爬行類動物的速度冠軍 美國的一種蜥蜴,它逃跑時的最大時速達24公里。
2.昆蟲當中的游速(水面)最快的冠軍 鼓甲,鞘翅目,豉甲科,甲蟲。體色深,有光澤。成群生活於池塘表面。移動迅速,多用槳狀的中足和後足划水,繞一個小圓圈旋轉游泳。複眼分成兩對,分別用以觀察水上和水下的景物。食水表面的昆蟲(但是方向感不強,總是在水面迷失方向)
3.爬行類動物的游泳冠軍 太平洋中的棱皮龜,其爬行速度最高達35.2公里/小時。
4.飛得最快的昆蟲 澳大利亞蜻蜓,它短距離的衝刺速度可達每小時58公里。
5.跑得最快的鳥鴕鳥,75千米/小時。
6.長跑最快的動物 藏羚羊具有特別善奔跑的優點,奔跑速度可達每小時70~110公里,即使是妊娠期滿臨產的雌藏羚,也會以很快的速度疾奔,它還是高原嚴酷環境下奔跑最快的動物。
7.陸地上短跑最快的動物 非洲的獵豹是陸地上短跑最快的動物,時速可達110公里。 它的長距離奔跑時速僅為60公里左右。 它們最快的速度只能維持一分鐘,接著便得花上二十分鐘時間喘息、恢復。
8.長距離游速最快的魚類 鮪魚,游速達230公里。
9.游得最快的魚類 旗魚,游速每小時達120公里,比輪船正常航行的速度要快三四倍。
10.長距離飛的最快的動物 尾部有脊骨的褐雨燕(也稱樓燕) ,它的時速高達170.98公里,最快352.5公里。一般速度為每小時110-190 公里,是長距離飛行最快的鳥類。
11.短時間飛得最快的動物 游隼,它俯衝時飛行迅速,在天空中向下俯衝速度最高可達360公里。大多數時候都在空中飛翔巡獵,發現獵物時首先快速升上高空,占領制高點,然後將雙翅析起,使翅膀上的飛羽和身體的縱軸平行,頭收縮到肩部,以每秒鐘75—100米的速度,呈25度角向獵物猛撲下來。
食肉動物
獵豹120公里/h(世界上跑的最快的動物)
老虎80公里/h
美洲豹70公里/h
美洲獅70公里/h
豹70公里/h
雪豹64公里/h
灰狼64公里/h
非洲野狗62公里/h
猞猁62公里/h
鬣狗62公里/h
北極熊60公里/h
獅子60公里/h
豺56公里/h
棕熊56公里/h
黑熊52公里/h
野豬60公里/h
食草動物
跳羚95公里/h
野驢85公里/h
長頸鹿72公里/h
袋鼠65公里/h
鹿65公里/h
馬62公里/h
野牛60公里/h
斑馬65公里/h
犀牛56公里/h
駱駝50公里/h
野兔52公里/h
河馬48公里/h
大象40公里/h
人和其他動物
狗52公里/h
貓45公里/h
家兔32公里/h
人28公里/h
速度在位移相同的情況下,比較所用時間的長短。用的時間短,跑得快;用的時間長,跑得慢。這句話怎理解呢?除了首段的理解,我們繼續往下想就變成:物體在任何時刻都是存在與空間中的,物體呆在空間中任一點是有一定時間的。寫成公式的形式就是Z=1/V=t/s。對於Z我們可以引入物理概念,由於Z等於速度的倒數,我們可以叫度速。那么度速的單位就是“秒每米”,符號是s/m.度速跟速度一樣,不但有大小,而且有方向,是矢量。度速的大小在數值上等於單位空間內時間的長短,度速的方向跟運動的方向相同。例如在上面‘ 比如在百米競賽中,運動員甲用10s跑完全程,運動員乙用11s跑完全程,甲用的時間短,跑得快。’
相關名言
速度就造就了成功,沒有速度就沒有成功。 ——莎士比亞
機器人在工作強度、運算速度和記憶功能方面可以超越人類,但在意識、推理等方面不可能超越人類。——周海中
延緩速度就是落後,而落後者是要挨打的。 ——史達林
