定義
逆威沙特分布
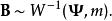
逆威沙特分布逆威沙特分布,也叫 反威沙特分布作是統計學中出現的一類機率分布函式,定義在實值的正定矩陣上。在貝葉斯統計中,逆威沙特分布會用作多變數常態分配協方差矩陣的共軛先驗分布。 如果一個正定矩陣B的逆矩陣遵從威沙特分布的話,那么就說矩陣B遵從逆威沙特分布:
逆威沙特分布機率密度函式
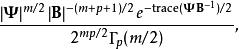
逆威沙特分布的機率密度函式是:
逆威沙特分布
逆威沙特分布
逆威沙特分布其中B和 都是 的正定矩陣,而Γ(·) 則是多變數伽馬分布。函式
逆威沙特分布指的是跡函式。
相關分布
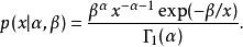
逆威沙特分布當變數數目減到一個的時候,逆威沙特分布會變成特例:逆伽馬分布。也就是說,當 的時候,逆威沙特分布的機率密度函式是:
逆威沙特分布
逆威沙特分布這正是逆伽馬分布。其中 是通常的伽馬函式。
而逆威沙特分布也有推廣,其中一個是正態逆威沙特分布。
參見
•威沙特分布
•矩陣常態分配
