含義
轉折性天氣是指能夠發生重大轉折性變化的天氣。如氣象工作者預報第一天有降水,而第二天則沒有降水,這便代表著轉折天氣的出現。
舉例
如四川省氣象局預計:2017年1月8日傍晚開始,受北方冷空氣影響,四川盆地自北向南將有一次較明顯的降溫降水天氣過程,9~11日大部地方日平均氣溫將累計下降4~6℃;冷空氣影響時普遍有3~4級偏北風,四川盆地大部地方陰天有小雨,局部中雨,盆周山區的局部地方有雨夾雪。近期氣溫偏高明顯,霧霾天氣持續,此次降溫降雨天氣過程對霧霾天氣有較好的清除作用。
一次典型轉折性天氣過程分析
表1 2007年大理州05-19—07-09降雨量與歷年比2007年雨季開始後,大理州05-19—07-09連續523d除局部地 區出現強對流天氣外,無全州性強降雨天氣過程,合計雨量比歷年同期偏少3~8成,其中偏少7成以上有7個縣(市),偏少5成以上有9個縣(市);有5個縣(市)突破有氣象記錄以來的最少值(表1);5月下旬至7月上旬全州氣溫持續偏高,少雨高溫強光照的天氣持續時間長,出現了有氣象記錄以來持續時間最長、影響面最廣的插花性乾旱,乾旱形勢十分嚴峻。
7月10日,天氣突然發生轉變,出現了5站大雨,3站中雨,大雨主要在大理州北部和中部,影響系統是高空冷平流和700hPa切變線。為了進一步認識滇緬高壓突然減弱而導致大理州出現強降水的原因和物理機制,本文利用MICAPS常規分析資料,對這次久旱轉雨天氣的環流特徵和物理量場進行分析總結,以期對提高這類轉折性天氣的預報能力有所幫助。
久旱轉大雨天氣“轉變”特徵
久旱是在一定的環流形勢下出現的。2007年6月西太平洋副熱帶高壓較常年同期面積偏大,面積指數為29,比常年偏大10,強度偏強;西伸脊點略偏西,位於115°E,比常年偏西4個緯距。月內中高層500hPa大理州多為偏西或西偏北氣流或副高外圍氣流控制,在10—12日有南支槽東移,但沒有冷空氣的配合,全州只出現小雨天氣,6月全州沒有一次區域性強降水,乾旱明顯。進入7月後,2—6日副高位置仍偏西,西伸脊點在110~113°E之間,中緯度氣流較平直,7日環流開始調整,副高開始東退,中緯度環流經向度明顯加大,7月10日在700hPa切變線、500hPa冷平流的共同作用下,大理州出現了入汛後持續52d無區域性強降雨背景下的全州性大雨天氣過程。
環流形勢和影響系統
500hPa形勢:7月9日08時降水開始前,歐亞中高緯為兩槽一脊形勢,低緯在四川東南部理塘、西昌、宜賓、重慶有一低槽,與雲南東部威寧、昆明、蒙自的低槽形成T形切變槽形勢;雲南大部為脊前偏北氣流控制;副高主體位於118°E以東的洋面上。10日08時,中高緯兩槽一脊形勢減弱並東南移,副高減弱東退西伸脊點位於128°E附近;雲南以西的高壓脊再次加強,整個雲南均處於高壓東部的西北氣流控制;從新疆到高原東南部△T<0℃,格爾木的△T=-4℃,冷平流明顯,西北氣流引導冷平流南下,加強了700hPa的切變,導致降水加大。
700hPa形勢:7月9日08時,川滇切變線位於巴塘、西昌、宜賓一線(未過西昌),切變前部雲南為偏西風或西偏南風6~12m/s,切變後部成都、漢中、武都、渝中的風向轉為偏北風或東北風,且風速加大,有利於切變南壓影響到大理州。10日08時,切變南移至威寧、大理一線,形成輻合區,此時南北勢力相當,預示輻合區將維持。
衛星雲圖特徵
從衛星雲圖上可以直觀地看出,這次降水過程不是高空槽雲系造成,而主要是700hPa切變線南壓過程中產生的對流雲團造成,高空冷平流的入侵加強了低層輻合區,使降水加大。
在7月9日08時的衛星雲圖上,高空槽主體雲系位於重慶西南部至雲南東北部,雲南省大部除文山、版納外,為東北西南向的高空槽底部的中低雲系覆蓋。之後,隨著主體雲系的原地變化減弱,其底部的中低雲系不斷從東東北向西西南掠過大理州,位置逐漸南移,範圍逐漸減小。
9日20時衛星雲圖上看,切變線雲系並不是很明顯。之後,切變線逐漸南壓,在南壓過程中,雲系從無到有、從弱到強影響大理州。到10日08時,大理州除雲龍、永平外均為對流雲覆蓋,雲頂T為-45.54~-66.66℃,合併後的2雲系繼續向西南方向移動,15時後強度逐漸減弱範圍縮小,至10日20時,對流雲團移出大理州。
熱力場特徵分析
(1)沙氏指數分析
圖1沿25.5°N作Si時間—經向分布圖大氣層結不穩定是產生強對流天氣的主要條件之一,沙氏指 數是日常預報業務中判別大氣穩定度的重要指標,當Si>0時表示大氣穩定,Si<0時為不穩定。經過25.5°N作Si指數的時間—經向分布圖(圖1),8日08時—9日08時,在100~104°E(大理上空)的區域Si>0,最大值為1;9日08時後,Si<0,對應大雨區域Si<-1.5。說明大雨發生前24h,大理已經處於大氣層結不穩定。
(2)水汽條件演變特徵
分析8日08時—10日20時700hPa比濕分布圖,大理州比濕一直維持10g/kg,低層濕度較好。由相對濕度垂直剖面分布圖看,降水開始前12h(9日08時)低層暖濕空氣向高層輸送,濕層增厚到達500hPa。分析大理上空的水汽通量散度分布圖,8日08時—9日20時,800~500hPa附近為水汽通量輻散,最大輻散中心在700hPa附近,為12×10g·cm·hPa·s;9日20時—10日20時,800~500hPa附近形成強度為-40×10g·cm·hPa·s的水汽通量輻合中心,輻合中心與同期發生大雨天氣的區域相對應。
動力場特徵分析
(1)散度特徵分析
沿25.5°N、100°E作散度場時間—高度剖面圖,分析散度場分布發現,8日20時,650~850hPa和400hPa以上為氣流輻散,550~450hPa附近為強度-16×10s的輻合中心;9日08時,750~350hPa為氣流輻散,8日20時對應的輻合中心轉為輻散中心,中心值為16×10s,低層輻散抬高,面積增大,350~250hPa附近為中心強度為-12×10s的輻合中心;8日08時—9日20時,維持為低層輻散,高層輻合的配置,不利於上升運動的發展。10日08時,低層輻合抬高至500hPa附近,輻合中心在750hPa附近,中心強度為-36×10s,500~100hPa為氣流輻散,最大輻散中心位於200hPa附近,為24×10s,低層輻合,高層輻散,有利於上升運動的發展。
(2)垂直速度場特徵分析
沿25.5°N、100°E作垂直速度場時間—高度剖面圖,從垂直速度分布圖上可以看出,8日08時至9日20時的垂直上升運動不明顯;到10日08時,低層到高層均為強烈的垂直上升運動,最大上升運動中心在500hPa附近,中心強度達-70×10hPa·s。為10日的大雨天氣提供了有利的動力機制,垂直上升運動釋放了不穩定能量。
研究結論
①本次久旱轉大雨過程是在中緯度環流經向度明顯加大,副高東退的形勢轉變下出現的,轉變特徵明顯;這次大雨天氣過程與滇緬高壓突然減弱、滇東的低槽西移有關,滇緬高壓東側的西北氣流引導冷平流對大雨的啟動至關重要,川滇切變線的南移為這次大雨過程提供了動力機制;降水產生時大理州上空為對流雲團控制,雲頂TBB為-45.54~-66.66℃。
②大雨發生前24hSi指數從Si>0變為Si<0,表明降雨前大理州已經處於大氣層結不穩定;大雨發生前,大理地區700hPa比濕一直維持10g/kg,水汽條件較好,但無水汽通量散度輻合;大雨發生時有水汽通量散度輻合,中心強度為-40×10g·cm·hPa·s,輻合中心與大雨天氣的區域相對應。
轉折性天氣降水預報檢驗方法及套用
深入了解各種全球預報模式的特性,掌握其預報特點,能夠有效地提高預報準確率,減少預報的盲目性和不確定性。模式的降水預報能力直接反映預報的可用性和準確性,是模式預報能力的最終體現之一。國內一些業務和研究機構對不同的數值模式做過很多檢驗工作,對降水檢驗方法也有一些探討。對數值模式的降水檢驗方法有很多,常用的方法有TS評分、預報偏差、技巧評分以及ETS評分檢驗等。由於TS評分對降水氣候機率依賴較高,如冬季雨日少,而夏季雨日多,TS評分夏季一般高於冬季。為了彌補這一不足,降水預報檢驗除了通常的TS評分,還採用了不同的檢驗方法,如ETS評分吸收了TS評分的一些優點,又降低了隨機降水機率對評分的影響,技巧評分是在TS評分上減去了氣候機率的平均值,在一定程度上反映了預報技巧,減少了氣候機率的影響。
近些年預報檢驗發展了一些新的方法,包括基於空間檢驗的誤差分解方法、特徵分析方法、尺度分解方法、模糊檢驗方法,以及基於機率預報和集合檢驗的方法等。誤差分解方法是將預報誤差分成位移、振幅和剩餘誤差3個部分,獲得相對於觀測場標準的預報場特徵變化,這種誤差可以用物理單位(如km等)來度量。特徵分析法是通過分析預報和觀測場的特徵,來評估預報和觀測之間如位置、尺度和強度等不同特性。尺度分解方法是將預報場和觀測場分成不同尺度的組成部分,然後分別對各個部分進行檢驗,目的是評估對不同尺度的預報能力。模糊檢驗方法特別適用於高分辨預報,是將預報和觀測在空間和時間上進行匹配的檢驗方法。以上這些空間檢驗的方法主要是用一致性分析來檢驗預報空間結構和特徵,反饋預報誤差的本質特性,它們既適合檢驗大尺度模式也適合檢驗高分辨區域模式。而機率預報和集合檢驗的方法一般分為從機率分布函式中檢驗集合預報分布,評估機率預報中的機率分布函式,以及檢驗事件的機率預報等3類。
通過分析降水預報檢驗的特點,設計出了轉折天氣降水預報評分(CTS評分)方法,供大家參考和討論。這種降水檢驗評估方法,主要是針對轉折天氣降水預報能力檢驗,作為現有降水預報檢驗方法的補充,從不同的角度評價了模式降水預報能力。
方法介紹
轉折天氣降水預報評分(CTS評分)中所指的轉折天氣是指從無降水到有降水或從有降水到無降水的天氣。當實況(或預報)第1天無降水而第2天出現降水或第1天有降水而第2天無降水,則表明實況(或預報)出現了轉折天氣。且當實況或預報出現同樣的轉折天氣,即都是從無降水轉為有降水,或從有降水轉為無降水,則表明轉折天氣預報正確。轉折天氣空報是指預報為無降水轉降水型轉折天氣而實況不是,或預報為有降水轉無降水型轉折天氣而實況不是。轉折天氣漏報是指實況為無降水轉降水型轉折天氣而預報未能報出,或實況為有降水轉無降水型轉折天氣而預報未能報出。
多模式的降水能力檢驗
(1)各預報時效降水能力檢驗
圖2T213、日本和德國模式各預報時效轉折天氣降水預 報評分(CTS)由圖2可知,T213模式在84h預報時效內表現良好,CTS評分都在14.0%以上,36h表現最好為17.7%。日本模式預報24h和36hCTS評分分別為20.4%和19.5%,之後預報評分穩中有降。德國模式24hCTS評分值明顯大於其他各時次,36h後趨於穩定,但評分較低,36hCTS評分為6.0%。T213模式與日本模式在轉折天氣降水預報上能力大體相當,但日本模式稍微好一些。德國模式除24h預報較好,其他時次的預報均不如T213和日本模式。從總體上看,各模式預報能力隨預報時效的延長都有減弱的趨勢。
對比3個模式各預報時次的晴雨、小雨TS和中雨TS評分,晴雨評分由好至差分別為德國、T213和日本模式,小雨和中雨評分由高到低分別為日本、T213和德國模式。計算出3模式的各預報時次的CTS和小雨評分的相關係數為0.93,而和晴雨評分的相關係數為0.06。可見CTS評分和小雨TS評分有正相關關係,而晴雨預報評分與模式的轉折天氣降水預報能力並不是正相關的關係。
表2 2006年9月至2008年8月多模式轉折天氣空報率和漏報率評分由3個模式的CTS空報率和漏報率上看,都存在隨預 報時效延長其值有增加的趨勢。除24h預報外,空報率日本模式最低,T213次之,德國模式最高;漏報率T213模式和日本模式差不多,德國模式最高。由表2看出,日本模式的CTS漏報率和CTS空報率與T213模式相當且略低,說明這兩個模式轉折天氣降水預報特點有相似之處。
(2)降水預報能力的空間檢驗
圖3從全年的T213模式48h轉折天氣降水預報能力和小雨TS評分空 間分布來看(圖3),東北、華北、長江中下游、青海、西藏東部以及河西走廊、內蒙古中部及東部地區CTS評分較高,下列地區高達30%以上,黑龍江西北部、吉林中部、內蒙古中部地區。長江沿岸及以南地區、內蒙古東部、青藏高原東部小雨的TS評分較高,說明T213模式在長江中下游地區、青藏高原東部、黑龍江北部、吉林大部及內蒙中東部具有較好的預報性能及預報技巧。
圖4從全年的日本模式48h轉折天氣預報能力和小雨TS評分 空間分布來看(圖4),轉折天氣預報性能較好的地區有長江中下游地區、淮河流域、內蒙古中東部和華北東北等地區,江淮流域、吉林、遼寧、內蒙古中部等地CTS評分在30%以上,日本模式的小雨評分在長江沿岸及以南地區、吉林、遼寧及華北部分地區,特別是四川盆地、安徽南部和浙江部分地區評分較高,此外在青藏高原中東部評分也較高。因此日本模式降水預報特點是在長江中下游地區效果好,吉林、遼寧及華北部分地區也有一定的預報效果。
圖5分析德國模式的降水預報性能的空間特點(圖5)可知,轉折天氣降 水預報評分總體較低,在四川盆地、雲貴高原等部分地區評分稍好,小雨TS評分較好的地區在四川盆地、青藏高原中東部以及華南地區。可以看出德國模式降水預報在四川盆地和華南部分地區有較好的表現。
表3用北京站(站號為54511)代表華北地區,南京站(站號為58238)代表長江中下游地區,廣州站(站號為59287)代表華南地區,進行空間檢驗分析。據統計,南京站發生的轉折性天氣頻次最多,廣州 站次之,北京站最少。由表3可知,3個模式共同表現為北京站、南京站和廣州站的CTS評分都小於小雨TS評分;T213模式和日本模式中,南京站的CTS評分和小雨TS評分最好,其次是北京站,廣州站得分較低。德國模式評分比較低,比較而言廣州站的CTS評分和小雨評分要好於南京站和北京站。從T213模式和日本模式南京站CTS評分和TS評分較好來看,這兩個模式在長江中下游降水預報具有較高的參考價值。而德國模式廣州站表現稍好,這與德國模式的整體空間檢驗結果相吻合。
從模式的空間降水性能預報特點來看,T213模式和日本模式共同在長江中下游地區預報效果較好,德國模式在四川盆地地區預報效果較好,這可能與這些區域降水機率以及轉折天氣出現的機率較大有關,但各個模式也有其自身的預報特點。從轉折天氣降水預報評分和TS評分相結合分析各模式的預報性能可以得到比較全面和可靠的結果,對了解各模式的預報特點有很好的參考價值。
(3)降水預報能力的季節檢驗
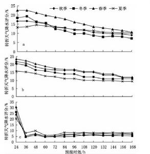
圖6數值模式在不同的季節其預報性能多有不同,了解和分析其 在不同季節的預報特點也是把握模式的預報能力、更好地使用模式指導實際預報的重要方面。從季節降水預報檢驗看出(圖6),T213模式在60h預報時效內,春季預報最好,然後是冬季和秋季,夏季較差。36h預報春季的CTS評分為22.5%,冬季、秋季和夏季分別是19.3%、16.7%和13.6%。在72h後,冬季和夏季預報性能相當,冬季則表現最差。T213模式除夏季外,秋冬春季的各預報時效中36h預報評分最高,但總體看隨著預報時效的延長,各季節預報效果會有降低的趨勢。
日本模式降水預報CTS評分隨預報時效的增加也是呈現降低的趨勢。36h春季CTS評分為22.5%,秋季、冬季和夏季分別是21.0%、19.6%和15.4%。從各季節的評分比較看出,春季最好,然後是秋季和冬季,夏季明顯不如其他季節。
德國模式的降水季節預報評分除24h較好,其他時次的評分不如T213和日本模式。36h夏季的CTS評分為8.0%,春季、秋季和冬季的評分依次為5.4%、5.3%和4.5%。各季節比較發現,其夏季評分較好,冬季最差。隨預報時效延長,其預報性能無明顯下降趨勢。
從3個模式的季節降水預報特點看,T213和日本模式都是春季最好,夏季較差,這可能是夏季降水過程頻繁及降水系統複雜造成。而德國模式降水預報各季節表現並不好,其夏季評分雖最高,但和其他兩模式相比沒有明顯優勢。因此,在實際預報中要從多方面分析降水原因才能得出較為可靠的結果。
研究結論
通過對全球中期T213、日本和德國數值預報模式在2006年9月至2008年8月的降水預報的檢驗評估分析,得到以下結論。
(1)轉折天氣降水預報能力檢驗是降水檢驗方法的有效補充。
(2)從3個模式全年轉折天氣降水預報能力來看,隨著預報時效的延長,轉折天氣降水預報能力存在逐漸遞減的趨勢。
(3)3模式的季節預報能力,以36、48h預報時效為例,T213和日本模式春季最好、夏季最差,德國模式是夏季最好、冬季最差。從48h全年預報的小雨TS和CTS評分的空間分析可知,T213模式長江中下游地區、青藏高原東部、東北及華北等地區,日本模式在長江中下游、吉林、遼寧及華北部分地區,德國模式在四川盆地和華南部分地區預報效果較好,3個模式在這些地區降水預報能力強,對降水預報有較好的參考價值。
(4)轉折天氣降水預報評分有其一定的優勢,但還有需要改進的地方,如轉折天氣降水評分只從有降水至無降水或從無降水至有降水考慮,還沒有分析降水的量級變化,今後的工作可以從區分降水量級來考慮轉折天氣降水的變化,進一步完善轉折天氣預報評分方法,有效地檢驗模式各降水量級預報性能。

