軌枕間距的設計
軌枕間距是設計軌道結構的重要參數之一。軌枕間距與每千米鋪設的軌枕根數有關。每千米鋪設的根數應根據運量、軸重、行車速度及線路設備條件確定,並應與鋼軌和道床等軌道的主要部件合理配套,以求在最經濟的條件下,保證軌道具有足夠的強度和穩定性。軌枕間距小一些,軌道各部件的受力都可以小一些,並使軌距、方向易於保持,對行車速度高的地段尤為重要。但間距不能太小,太小則鋪設的軌枕根數多而不經濟,而且間距過小,也會在一定程度上影響搗固質量。在既有線的正線上,線路標準有所提高,每千米混凝土軌枕數量與木枕相同。
凡符合下列條件之一的地段,正線軌道應增加軌枕根數:
(1)混凝土軌枕軌道在半徑為800m及以下的曲線地段(包括緩和曲線和圓曲線);
(2)木枕軌道或電力牽引線路在半徑為800m及以下的曲線地段;
(3)大於12‰的下坡地段;
(4)長度大於或等於300m且鋪設木枕的隧道內 。
每千米增加的軌枕數量和最多鋪設根數如下表所示:
| 軌枕類型 | Ⅰ型混凝土枕 | Ⅱ型混凝土枕 | 木枕 |
| 每千米增加的軌枕數量 | 80 | 40 | 160 |
| 每千米最多鋪軌根數 | 1840 | 1760 | 1920 |
軌枕間距的計算
在普通軌道上,鋼軌接頭由於受到衝擊作用,軌枕的間距要比中間部分軌枕略小,並要有一個過渡的軌枕間距,如下圖所示。
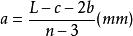
軌枕間距軌枕間距a的計算如下:
軌枕間距
軌枕間距式中, ——每節鋼軌長度(包括一個軌縫,並按8mm計算)(mm);
軌枕間距
軌枕間距——過渡間距,一般可取 ;
軌枕間距——接頭軌枕間距(mm);
軌枕間距——每節鋼軌鋪設的軌枕根數。
最後算出的a值取整後代入上式反算b的應有值。無縫線路地段的軌枕間距應按設計規定來布置。一般應均勻布置軌枕間距,並使鋁熱焊縫或移動式氣壓焊縫距軌枕邊緣70mm以上。
無縫線路軌枕間距的布置
無縫線路軌枕間距應均勻布置。Ⅲ型混凝土枕配置標準為1667根/km。軌枕間距如下表所示。
| 軌枕配置根數(根/km) | 軌枕間距(mm) |
| 1667 | 600 |
| 1760 | 568.2 |
| 1840 | 543.5 |
| 1920 | 520.8 |
普通線路軌枕間距的布置
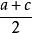
普通線路接頭軌枕間距c、接頭側邊軌枕間距b以及其他部位軌枕間距a,尺寸要求如下圖表所示 。
軌枕間距尺寸不同國家的軌枕間距差異
在世界各國鐵路的軌枕間距中,以我國和前蘇聯的軌枕間距為最小;歐美國家的軌枕間距比較大;但隨著運營條件的變化,他們已認識到採用較小的軌枕間距有利於減輕鋼軌和道床的受力。例如英國鐵路的混凝土軌枕間距有最大的760mm減小到703mm,正常的為650mm,可增加軌道的橫向穩定性。

