用活度因子表示溶質的非理想程度,用滲透係數可以較顯著地表示溶劑的非理想程度,而超額函式用來較方便地表示整個溶液的非理想程度。
超額函式
定義:
實際溶液的熱力學量Xre與其理想化溶液的熱力學量Xid之差稱為該實際溶液的超額函式,用XE表示。
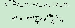
超額焓
超額焓超額焓就等於混合過程焓變化(簡稱混合焓)
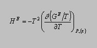
超額焓它們與超額吉氏函式的關係是
超額焓由此可實現 模型(或活度係數模型)與混合焓相互推算。

超額焓,用活度因子表示溶質的非理想程度,用滲透係數可以較顯著地表示溶劑的非理想程度,而超額函式用來較方便地表示整個溶液的非理想程度。
用活度因子表示溶質的非理想程度,用滲透係數可以較顯著地表示溶劑的非理想程度,而超額函式用來較方便地表示整個溶液的非理想程度。
定義:
實際溶液的熱力學量Xre與其理想化溶液的熱力學量Xid之差稱為該實際溶液的超額函式,用XE表示。
超額焓
超額焓它們與超額吉氏函式的關係是
超額焓由此可實現 模型(或活度係數模型)與混合焓相互推算。
物性模型的基礎。第3章“流體的熱力學性質:焓與熵”以剩餘性質和偏摩爾性質...93泡點下的液體混合物密度42第3章流體的熱力學性質:焓與熵4431純流體的熱力學關係44311基本關係式44312焓和熵表示為T...
基本信息 內容簡介 目錄及仿真,廣西區教委,95-97,3萬元,完成,參加7.含MTBE體系超額焓精密實驗測定與理論模型研究,國際合作項目,96-97,1萬美元,完成...
人物簡介 科研項目 論文論著2.7.4 混合物的立方型狀態方程本章小結習題第3章 焓、熵、熱容與溫度、壓力的關係3.1 化工計算中的焓和熵3.2 熱力學性質間的關係3.2.1...溫度、壓力下的單相流體焓變的計算3.4.1 真實流體的剩餘性質3.4.2...
內容簡介 目錄關係式、偏導數關係式和Maxwell方程的意義5532焓變和熵變的計算...真實氣體的熱容Cp58322熱力學性質焓、熵值的計算58322...真實氣體的焓變和熵變的計算643231由氣體pVT實驗數據計算...
基本信息 內容簡介 目錄(Maxwell)關係式 433.2 焓變與熵變的計算 463.2.1... 真實氣體的H、S隨T、p的變化 493.2.4 真實氣體的焓變和熵變的計算 503.2.5 蒸發焓與蒸發熵 623.3 純物質兩相系統的熱力學性質...
內容提要 目錄的超額焓和超額體積的測定.化學工程,19889 張燕若,盧煥章.低溫含氫...,趙傳鈞,盧煥章.酮-醇體系超額焓的研究(Ⅱ).化學工程,199013 盧...,199114 童張法,趙傳鈞,盧煥章.烴-醇和酮-醇體系超額焓計算.北京化工學院...
基本概況 人物簡歷 主要論著 人物生平 化工設計人員,主持獲獎情況“含MTBE體系超額焓精密測定與理論模型研究”項目獲... 對傘花烴二元體系超額焓的測定,物理化學學報,2006,22(11...
人物簡介 學術研究 獲獎情況 論文論著可逆過程2.4熱的計算2.4.1等容熱效應2.4.2等壓熱效應和焓2.4.3...對於理想氣體的套用2.5.1理想氣體的內能和焓2.5.2理想氣體的熱容...實際氣體的內能和焓2.7第一定律對於化學反應的套用——熱化學2.7.1化學...
圖書簡介 圖書前言 圖書目錄熱力學基本定律及熱力學函式內能、熵,導出熱力學函式焓、吉布斯函式、亥姆霍茲...
圖書目錄 附錄