簡介
很多人狹義理解否決權就是管理的職責權利、體現懲罰的一面。而實際質量否決權中的否決不僅含有懲罰的一面,而且還有獎勵的一面,是獎和懲的同一體,它具有正負激勵的雙重功能,質量否決權是質量管理的專業名詞。
實施質量否決權的關鍵是最高管理者的理論和意義的認識及重視程度,在於領導要督促建立一個符合本系統(單位)實際的實施辦法。
實施質量否決權的有效性,需要建立一套科學的質量責任評價體系和考核辦法。
實施質量否決權的核心是計獎算法。
質量否決權法的產生
質量否決權是全面質量管理的重要內容之一,是貫徹“質量第一”方針的一項經濟政策,1983年全國第六次“質量月”活動以後,我國的質量管理工作進入了一個新的階段,取得了明顯的成效,為進一步推動我國的質量管理工作,1985年,原國家經委發出通知,要求所有國營工業企業在“七五”期間都要推行全面質量管理,並且提出其中列入計畫的8200個大中型企業都要實行質量否決權。1986年和1987年,原國家經委分別召開了第一、二次“質量否決權專題研討會”。近年來.質量否決權在我國已經由點到面的開展起來,並且在一些企業取得了較大的成效。
質量否決權法的定義
質量否決權,就是根據一定的質量標準,確定否決項目,建立質量責任評仁指標體系,動用有關獎懲計算方法,求出質量係數,對獎金進行部分否決或全部否決。質量否決權可分三個層次:第一個層次是國家(或主管部門)對企業實行質量否決權;第二個層次是企業對車間(工區)實行質量否決權;第三個層次是車間(工區)對班組或個人實行質量否決權。
實行質量否決權的主要工作
1.建立標準
建立標準就是要制定質量責任評估指標體系,建立健全考核制度和獎懲方法。制定質量責任評估指標體系,要明確各級質量職能,建立健全一整套嚴格的質量責任制,對直接或間接影響產品質量的質量責任細分成一系列的定量化評價指標。
2.考核制度
考核首先要有組織保證,同時要有明確的考核規範,包括考核細則、考核程式和考核時間等。要按照考核制度,根據質量責任評估指標體系,對各級、各類人員定時、定量進行認真考核。考核結果記錄在案並及時反饋,一切以數據為準。
3.實施獎懲
實施獎懲是“質量否決權”落到實處的關鍵,獎懲方法必須充分體現質量處於決定地位的原則。不能把質量指標按占一定比例來處理,而要把質量指標作為評估的基礎。目前,我國企業內部的質量獎懲計算方法有:
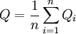
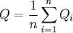
(1)質量係數法。以質量係數乘以當月基本考核項目得分率來決定實得獎金額。
質量否決權當月獎金=Q×(A+B+C+…)×應提獎金式中:(A+B+C+…)為除質量以外的考核得分;Q為質量係數,各個質量考核項目的平均數,即 當0獎金被全部否決;Q>1時,實得獎金大於應提獎金,體現優質優獎。
(2)PQC考核法。以產量、質量、管理得分率之和來決定實得獎金額,簡稱連乘法。
當月獎金=POC×應提獎金
式中P———產量(工作量)完成情況得分;C———管理或效益情況得分。
(3)質量下限分否決法。在質量係數法的基礎上,當質量方面得分降到規定的某一下限分數時,不管其他方面的考核成績有多大,則獎金全部被否決。質量下限分否決法,一般是將考核的質量指標規定為應達到的計畫值,當指標高於計畫值時,則增加係數,低於計畫值時,則減少係數,低到一定程度時,則係數規定為零。
對科室的考核還可補充使用下列方法:
(1)分管指標關聯法。負擔指標的科室按指標完成的結果直接浮動;未負擔指標的科室要根據企業方針目標、工作質量好壞進行浮動或與企業最終經營成果相聯繫,按最終產品質量間接浮動。
(2)工作差錯否決法。按照科室業務分工行使本職工作,出現的工作差錯率或經濟損失,予以決定否決的程度。
(3)重點項目否決法。一定時期內確定的企業重點項目、中心工作等,按有關科室完成情況和盡責程度決定獎懲。
實行質量否決權的原則
1.實行“質量否決權”效果好差的關鍵在於各級領導的認識和決心。要順利實行“質量否決權”,必須大力提高領導層的質量意識,特別是企業廠長(經理)的質量意識。只有這樣,才能使“質量否缺權”取得應有的效果。
2.必須反覆研究、完善質量否決的內容,提高“質量否決權”的有效性。要使其內容能增強職工的質量意識,解決質量上的薄弱環節,特別是科室管理層的考核,還需要進一步研究完善。首先應明確各科室的質量職能。對與產品的質量直接有關的科室,可根據其對產品質量應負的主要責任,以及因工作質量引起的質量問題等來制定質量責任評價指標,並嚴格考核。對與產品質量有間接影響的科室部門,要研究其工作質量,並與企業最終效益掛鈎。
3.加強質量立法,使實行“質量否決權”有法可依。同時,還要結合企業升級和全面質量管理達標驗收,制定出比較科學的質量評價指標體系,建立和完善質量監督檢查和質量考核獎懲制度,使評價標準、質量監督檢查和質量考核獎懲形成閉環管理,並落實到執行單位和個人。
4.實行“質量否決權”要加強企業管理的基礎工作,要建立和完善各項檢測手段,保證檢測數據的權威性、準確性,使“質量否決權”建立在數據說話的基礎上。
5.實行“質量否決權”,既要重視經濟手段、行政手段和法律手段,更要重視思想政治工作,這是一項涉及到企業和職工切身利益的新工作,實施起來會遇到各種習慣勢力的阻礙。思想政治工作要起到疏導和保證作用,發揮精神激勵的威力。
6.實行質量否決權,要結合本行業、本企業實際狀況定項目、定指標、定方法,不可生搬硬套。在考核內容上,要從上至下建立起一整套質量指標體系。設定的指標要先進合理,既突出重點又包括全面,便於考核。
質量否決權法主要套用領域
質量否決權主要用於質量要求比較高,質量指標明確且易考核的工業企業,如在機加、修造、施工等行業,效果比較明顯。隨著全面質量管理活動的深入發展,這項工作已擴展到各個行業,雖然具體套用的方法不盡相同,但是對產品質量、服務質量和工作質量等方面仍起到了一定推動作用。
實施質量否決權應注意的幾個問題
1.必須充分體現“質量否決權”實施部門處於決定地位的獎懲原則。並且我認為“質量否決權”的實施職能不宜與質量檢查職能歸為一處,質量否決應由一個超脫的綜合部門去行使。
2.必須保證“質量否決”具有良好的適用性。不怕方案簡單,只怕不切實際,不易操作。只有便於操作才好堅持,才能在實踐中不斷補充完善,逐步趨於成熟。
3.“等效化”處理至關重要,前面已說過“等效化”處理是保證機會均等、平均先進的一個措施,只有這樣才能防止旱澇不均,苦樂懸殊,真正調動起方方面面的積極性。
4.堅持“質量否決”的嚴肅性。靈活運用“質量否決”,指的是方式方法的靈活,絕不可喪失原則。
5.企業內部實施“質量否決”也要立足本廠,瞄準市場,與市場經濟的大氣候相適應。市場機制最鮮明的特徵就是公平競爭,優勝劣汰,企業內部在質量問題上的遷就,造成大批市場推銷不出去產品,或在市場上受到用戶的質量否決,將是任何一個企業不願意接受而又無法不予接受的事實。因此,企業內部質量否決必須與市場接軌,且必須保證企業內部否決的超前性,不然市場否決的無情帶給企業的將是最大最致命的打擊,損失是慘重的。
6.質量否決的重點要逐步轉移到預防性措施上。
有統計說明,百分之八十的消除產生次品的費用是由於計畫和設計階段的錯誤造成的。因此,把保證質量的重點放在工藝流程的起始和中間階段,無疑讓工人,工程設計和管理人員自我監督起作用,將會收到事半功倍的效果。
質量否決權法案例分析
某廠在實行質量否決權時,套用質量係數法對各車間進行考核獎懲。考核包括質量項目和基本項目兩部分,質量項目和基本項目的基礎分分別為100分。下面分別計算機加車間和鑄造車間某月的實得獎金。機加車間共110人,獎金月分值為0.2元/人( )分,平均崗位係數為1.05,當月基本項目合計(A+B+C…)得95分,由於該車間當月沒認真執行工藝規程,影響了半成品質量,根據考核標準規定,質量項目扣20分。該車間當月獎金計算如下:
應提獎金=110×0.2×1.05=23.1(元)
質量係數(Q)=質量項目實得分質量項目基礎分=100-20100=0.8
當月獎金=0.8×95×23.1=1755.6(元)鑄造車間共90人,獎金月分值為0.3元/人( )分,平均崗位係數為1.04,當月基本項目(A+B+C+…)得分100分,由於該車間當月沒認真執行操作規程,燒毀電動機一台,構成重大事故,根據考核標準規定,質量項目扣100分。該車間當月獎金計算如下:
應提獎金=90×0.3×1.04=28.08(元)
質量係數(Q)=100-100100=0
儘管該車間其它工作(基本項目)完成很好,但是由於質量係數為0,所以當月獎金被全部否決。

