估價的特點
貸款抵押物估價作為資產估價的一種,既有一般資產估價的特點,也具有貸款抵押物這種特殊資產估價的特點。作為一般資產估價,主要有以下特點:
(一)現實性。指以確認抵押物及其評估價格的基準時間為時點,對抵押物的實際狀況進行估價。主要表現於:1.以現實存在為依據,沒有與過去業務及記錄進行銜接的約束;2.要以現實為基礎反映未來;3.強調客觀存在。
(二)市場性。抵押物估價是在模擬市場條件下對資產進行確認、估價和報告,並且通常受市場的直接檢驗。
作為特殊資產——貸款抵押物的估價,其特殊性主要表現於:
1.預測性。抵押物估價不但要測算抵押物的即期價值,還要預測該資產在未來某一時間(如貸款到期日)的價值。
2.以貸款安全為目的。一般資產估價,以準確性為最大原則,而貸款抵押物估價,則以保證貸款安全為最大原則。因此,它常常以預測為重要手段,在價格要素估價方面,如預期壽命、功能適銷率、價格、利潤等經過科學的預測,從而得出未來某時點上,貸款抵押物的有效變現價值,從而保證貸款安全。
(三)諮詢性。抵押物估價結論本身不具備強制執行的效力,只供銀行信貸部門參考使用,估價人對估價本身符合職業準則要求負責。
估價的原則
在貸款抵押物估價工作中,估價人員應堅持以下原則:
(一)客觀性原則。就是要以客觀事實為依據,實事求是,一切從實際出發,強調事實高於形式,即使需要作出必不可少的假設也應與事實一致,不與事實有衝突。
(二)獨立性原則。要求抵押物估價不受當事人和評估人利益的影響而獨立進行,不依賴於其他個人、機構和組織,也不受其干擾和影響,不偏袒貸款銀行和借款人中的任何一方。
(三)科學性原則。就是要依照國家的法律、法規和政策規定,嚴格按照職業標準和規範,運用科學的程式、方法和技術,選擇適當的參數進行估價。否則,其結果必然脫離實際,導致抵押行為的失敗。
估價的程式
對於抵押物估價機構來說,其估價程式主要包括接受委託、評定估算和提出報告三個階段。
(一)接受委託階段的主要工作是,了解委託行的貸款抵押物的概況,簽訂抵押物估價協定書,配備評估人員。
(二)評定估算階段的主要工作是,制定評估方案,評定被估資產的狀況,估算資產的價格。
(三)提出報告階段的主要工作是,整理評估工作底稿,撰寫估價報告書。屬於國有資產估價的,報告書還應提交國有資產管理部門進行驗證和確認。
基本方法
抵押物估價方法有許多種,要根據不同種類的抵押物以及抵押物自身不同的情況,具體確定採用哪種估價方法。常用的幾種估價方法有:重置成本法、現行市價法、收益現值法和清算價格法等。
一、重置成本法
(一)復原重置成本法
復原重置成本法,是指按原功能、材料、工藝、消耗等複製被估價抵押物,參照現行價格水平和費用標準估算重置全價,並:扣除有形損耗和無形損耗後,評定資產淨價的辦法。
其基本公式為:
資產重置淨價=(資產復原重置全價-技術性貶值)×成新盎
資產復原重置全價=(某項材料消耗量×該材料現值)+(原耗工×現行工時費用)+(原勞務消耗量×現取費標準)
技術性貶值,是指因技術陳舊影響抵押物價格的部分:
(二)更新重置成本法
更新重置成本法是在現行技術條件下,按新材料、新工藝、新消耗、新價格和費用標準,重置與被估抵押物具有相同功能的全新資產而得出的重置成本,再扣除有形和無形損耗,以評定資產淨值的辦法:
其基本公式如下:
資產更新重置成本淨價=資產更新重置成本價全價×成新率一功能性貶值
資產更新重置成本全價=現行技術條件下的量耗×現價
功能性貶值是因技術進步使類似功能成本降低(包括投資成本和運行成本)。或相同投資獲得功能更先進、更完備的資產,致使被估抵押物價格下降的部分。
(三)物價指數調整法
物價指數調整法是根據歷史成本,考慮物價指數.把賬面成本調整成重置成本全價,再扣除各種損耗確定重置淨價的方法
其基本公式為:
估資產重置成本淨價=被估資產歷史成本×適用物價指數×成新率-技術性損耗-功能性損耗
被估資產歷史成本來源於會計賬簿,其他參數同上。
二、現行市價法
現行市價法是以市場參照物的實際售價為基礎,考慮出售時間、出售條件,與類比物在生產規模、效率、地理位置、競爭能力和收益等方面的差異,通過類比分析進行調整後,評估抵押物收益現值的辦法。
其基本公式為:
資產價格=參照物價格+(時間差異價格+條件差異價格+規模、效率、位置、收益等有差異價格)
式中時間差異影響價格的測算,可按類比物出售時間為基期的定基物價指數來進行計算。根據被估抵押物的不同情況分別採取綜合物價指數、分類物價指數或單項物價指數,其他參數可採取具體因素分析的方法測定。
三、收益現值法
收益現值法是通過預測被估價資產的未來獲利能力和市場資金利用(收益)率來測算該資產的現值的方法。
(一)未來收益能夠確定在某一期間內的
其計算公式為:
被估價資產價值=(各年預期收益額×各年折現係數)
式中收益額確定有3種情況:一是企業利潤總額;二是企業利潤與折舊額之和;三是企業稅後利潤,可根據具體情況選擇。折現係數採用銀行利率加一定幅度的風險率。
(二)未來收益是無限期的
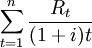
貸款抵押物估價1.未來收益各年不等額。其公式為:
式中:Rt表示每年的收益
t表示時間,第1,2…,n年
i表示折現率
2.未來收益各年是等額的。其公式為:
式中:A表示未來年份等額收益
I表示資本化率,即等額無窮收入的折現率。
四、清算價格法
清算價格法是按資產可變現價值來確定其價值的方法。通常清算價格都低於其持續經營價值,主要取決於資產的通用性能。專用設備和在產品通常很難找到買主,其價格往往低於經營資產的價值,清算價格一般通過市場售價比較法來獲得,即在市場上選擇適當的參照物,估算一個折扣率來確定被估價資產的清算價格。其公式為:
被估價資產的價值=參照物全新的市場價格×折扣率×所估價資產成新率。
參考文獻
1 周平.商業銀行經營管理.中國財政經濟出版社,1998年09月第1版.
2 李占往 劉彥濤主編.商業銀行新興業務(新世紀版).中國金融出版社,2001年01月第1版.
