簡介
在機率理論和統計學中,負指數分布(也稱為指數分布)是描述泊松過程中的事件之間的時間的機率分布,即事件以恆定平均速率連續且獨立地發生的過程。 這是伽馬分布的一個特殊情況。 它是幾何分布的連續模擬,它具有無記憶的關鍵性質。 除了用於分析泊松過程外,還可以在其他各種環境中找到。
指數分布與分布指數族的分類不同,後者是包含指數分布作為其成員之一的大類機率分布,也包括常態分配,二項分布,伽馬分布,泊松分布等等。
負指數分布
負指數分布
負指數分布指數函式的一個重要特徵是無記憶性(Memoryless Property,又稱遺失記憶性)。這表示如果一個隨機變數呈指數分布,當時有。即,如果T是某一元件的壽命,已知元件使用了t小時,它總共使用至少小時的條件機率,與從開始使用時算起它使用至少s小時的機率相等。
指數分布描述
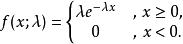
機率密度函式
一個指數分布的機率密度函式是:
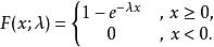
負指數分布其中λ > 0是分布的一個參數,常被稱為率參數(rate parameter)。即每單位時間發生該事件的次數。指數分布的區間是[0,∞)。 如果一個隨機變數 X呈指數分布,則可以寫作: X~ Exponential(λ)。
累積分布函式
累積分布函式可以寫成:
負指數分布記號
負指數分布
負指數分布
負指數分布若隨機變數服從參數為的指數分布,則記為
特性
均值和方差
隨機變數 X( X的率參數是λ) 的期望值是:
負指數分布比方說:如果你平均每個小時接到2次電話,那么你預期等待每一次電話的時間是半個小時。
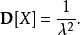
X的方差是:
負指數分布X的偏離係數是: V[X] = 1
無記憶性
指數函式的一個重要特徵是無記憶性( Memoryless Property,又稱遺失記憶性)。這表示如果一個隨機變數呈指數分布,它的條件機率遵循:
負指數分布與泊松過程的關係
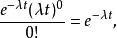
泊松過程是一種重要的隨機過程。泊松過程中,第k次隨機事件與第k+1次隨機事件出現的時間間隔服從指數分布。而根據泊松過程的定義,長度為t的時間段內沒有隨機事件出現的機率等於
負指數分布
負指數分布
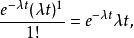
負指數分布長度為t的時間段內隨機事件發生一次的機率等於所以第k次隨機事件之後長度為t的時間段內,第k+n次 (n=1, 2, 3,...)隨機事件出現的機率等於。這是指數分布。這還表明了泊松過程的無記憶性 。
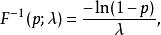
四分位數
率參數λ的四分位數函式(Quartile function)是:
負指數分布
負指數分布第一四分位數:
負指數分布中位數:
負指數分布第三四分位數:
參數估計
最大似然法
給定獨立同分布樣本 x= ( x, ..., x),λ的似然函式(Likelihood function)是:
負指數分布
負指數分布其中:是樣本均值。
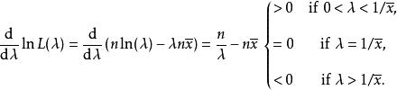
似然函式對數的導數是:
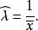
負指數分布率參數的最大似然(Maximum likelihood)估計值是 :
負指數分布