其形式為
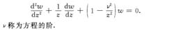
貝塞爾方程貝塞爾方程和匯合型超幾何方程具有相同的奇點0和};z=o是正則奇點,二是非正則奇點.因此,通過適當的變換,貝塞爾方程可以化成匯合型超幾何方程或惠特克方程.
貝塞爾方程 (Bessel equation)數學物理中常見的常微分方程之一。
其形式為
貝塞爾方程貝塞爾方程和匯合型超幾何方程具有相同的奇點0和};z=o是正則奇點,二是非正則奇點.因此,通過適當的變換,貝塞爾方程可以化成匯合型超幾何方程或惠特克方程.
貝塞爾曲線(Bézier curve),又稱貝茲曲線或貝濟埃曲線,是套用於二維圖形應用程式的數學曲線。一般的矢量圖形軟體通過它來精確畫出曲線,貝茲曲線由...
曲線作用 曲線命名 公式 工具 使用貝塞爾函式是貝塞爾方程的解,它們和其他函式組合成柱調和函式。除初等函式外,在物理和工程中貝塞爾函式是最常用的函式,它們以19世紀德國天文學家F.W.貝塞...
基本概念 基本內容 分類 套用範圍第一類貝塞爾函式(Bessel function of the first kind),常簡稱貝塞爾函式,為貝塞爾方程的第一解。貝塞爾函式的具體形式隨方...
歷史 現實背景和套用範圍 第一類貝塞爾函式 貝塞爾積分 和超幾何級數的關係貝塞爾函式的一族,也稱第一類貝塞爾函式,記作Jn (x),它由第一類貝塞爾函式的簡單組合來定義。 貝塞爾曲線是套用於二維圖形應用程式的數學曲線。
簡介 命名 作用 發現者 貝賽爾工具貝塞爾函式的具體形式隨上述方程中任意實數變化而變化被稱為其對應貝塞爾函式的。
貝塞爾函式簡介 歷史 現實背景和套用範圍 定義 第一類貝塞爾函式《數學物理方程》首先系統地介紹數學模型的導出和各類定解問題的解題方法,然後再討論三類典型方程的基本理論。書中內容深入淺出,方法多樣,文字通俗易懂,並配有...
浙大版 東大版《數學物理方程》首先系統地介紹數學模型的導出和各類定解問題的解題方法,然後再討論三類典型方程的基本理論。書中內容深入淺出,方法多樣,文字通俗易懂,並配有...
浙大版 東大版《數學物理方程》首先系統地介紹數學模型的導出和各類定解問題的解題方法,然後再討論三類典型方程的基本理論。書中內容深入淺出,方法多樣,文字通俗易懂,並配有...
清華版 浙大版 東大版 科大版《數學物理方程》是2014年清華大學出版社出版的圖書,作者是姜玉山、徐延欽、王曉敏、張慶靈、劉超、李明維。該書是為國內理工類數學相關各專業普遍開設的“數...
書籍目錄 書籍前言