計算公式
豎直上拋運動(以方向為正方向):
豎直上拋運動(1)速度公式:
豎直上拋運動(2)位移公式:
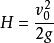
豎直上拋運動(3)上升的最大高度:
豎直上拋運動(4)速度位移關係式:
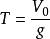
豎直上拋運動(5)豎直上拋物體達到最大高度所需時間:
可由速度公式和條件v=0得到
注:等高點 V等大 方向相反
由此公式可推出上拋的位移和末速度,方便計算。豎直上拋運動可以和自由落體運動相比較來學習。
一般,g取9.8m/s²,在特指情況下或粗略計算中取10m/s²。
對稱性
豎直上拋運動的上升階段和下降各階段具有嚴格的對稱性。
(1)速度對稱:物體在上升過程和下降過程中經過同一位置時速度大小相等,方向相反。
(2)時間對稱:物體在上升過程和下降過程中經過同一段高度所用的時間相等。
(3)能量對稱:物體在上升過程和下降過程中經過同一段高度重力勢能變化量的大小相等,均為mgh。
處理方法
分段法
豎直上拋運動圖像法根據上升過程是a=-g,V0≠0的勻變速直線運動,下落階段是自由落體運動來分析。
整體法
將全過程看作是初速度為V0(V0≠0),加速度是-g的勻變速直線運動,計算公式適用於全過程,但須注意方程的矢量性。習慣上取V0的方向為正方向,則V>0時物體在上升,V<0時物體在下降;h為正時表示物體在拋出點的上方,為負時表示物體在拋出點的下方。

