簡介
《 論法拉第力線》( On Faraday's Lines of Force)是詹姆斯·麥克斯韋於1855年發表的一篇論文。這是他從閱讀了麥可·法拉第的著作《電的實驗研究》(Experimental Researches in Electricity)之後,得到啟發而撰寫的一篇論文。麥克斯韋將法拉第想出的力線延伸為裝滿了不可壓縮流體的“力管”。這力管的方向代表力場(電場或磁場)的方向,力管的截面面積與力管內的流體速度成反比,而這流體速度可以比擬為電場或磁場。既然電場或磁場能夠比擬為流體速度,當然可以要求電場或磁場遵守流體力學的部分理論。那么,借用流體力學的一些數學框架,即可推導出一系列初成形的電磁學雛論。
用熱傳導機制來比擬靜電學
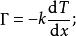
在那時期的電磁學可以形容為眾多實驗結果和數學分析的大雜燴,急需整合成一套內外一致,有條有理的學術理論。裝備著劍橋大學物理系對於物理學生精心栽培的比擬能力,麥克斯韋試圖創建一個能夠描述各種電磁現象的模型。他首先提到了威廉·湯姆孫想出的比擬案例。湯姆孫發現,描述熱傳導於均勻物質的傅立葉熱傳導定律,與靜電學內描述電場和電勢之間的關係式,它們的方程的形式相同。傅立葉熱傳導定律以方程表達為
論法拉第力線
論法拉第力線其中,是熱通量(heat flux),k是物質的熱導率,T是溫度。
電場和電勢之間的關係式表達為
論法拉第力線
論法拉第力線其中,E是電場,是電勢。
論法拉第力線很明顯地,設定熱導率,則電勢可以比擬為溫度,而電場可以比擬為熱通量。法拉第的電力線變為了熱流線,等勢線(equipotential)變為了等溫線。所以,解析熱傳導問題的方法,可以用來解析靜電學問題。
麥克斯韋又注意到一個問題:熱傳導依賴的是物質的緊鄰的兩個粒子之間互相接觸而產生的“鄰接作用”(contiguous action);思考兩個相距很遠的電荷,不經過任何媒介,互相直接施加於對方的作用力,假若電場力是這種作用力,則電場力是一種超距作用(action at a distance)。兩種完全不同的物理現象,居然可以用同樣形式的數學方式來描述,這給予麥克斯韋很大的遐想空間。
參閱
•《電磁場的動力學理論》
•電磁波方程
•麥克斯韋方程組
•彎曲時空中的麥克斯韋方程組
•麥克斯韋應力張量
•麥克斯韋方程組的歷史
•乙太
