基本概念
載波的相位對其參考相位的偏離值隨調製信號的瞬時值成比例變化的調製方式,稱為相位調製,或稱調相。調相和調頻有密切的關係。調相時,同時有調頻伴隨發生;調頻時,也同時有調相伴隨發生,不過兩者的變化規律不同。實際使用時很少採用調相制,它主要是用來作為得到調頻的一種方法。調相即載波的初始相位隨著基帶數位訊號而變化,例如數位訊號1對應相位180°,數位訊號0對應相位0°。這種調相的方法又叫相移鍵控PSK,其特點是抗干擾能力強,但信號實現的技術比較複雜。
調相電路
調相實現常見的有三種方法,分別是可變移相法調相、可變時延法調相、矢量合成法調相。
可變移相法調相
調相可控移相網路有多種實現電路,其中套用最廣的是由變容二極體和電感組成的調諧迴路。電路組成如下圖所示。
調相
調相實際加到變容二極體上的調製電壓u’(t) 為
調相就構成間接調頻。
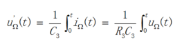
可變時延法調相電路
調相相應的公式為:
調相這種方法能得到較大的相移,調製線性較好,但電路複雜。
矢量合成法調相電路
調相如上圖是矢量合成法調相的電路模型,矢量合成法原理為:
單音調製時,調相信號可表示為
調相說明:實現線性調相的條件:
調相
