定義
誤檢率是檢出不相關檔案與檢出檔案總數之比,可用下式表示:誤檢率=檢出不相關文獻數量/檢出文獻數量*100%。
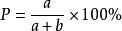
與誤檢率相對應的概念是查準率,查準率查準率是評價情報系統的檢索效果的指標之一,即通過檢索系統檢出的與某一需要相關的文獻數與檢出的文獻總數之比。查準率可用下式表示:查準率=檢出相關文獻數/檢出文獻總數*100%。
檢索效果指標
信息檢索效果是指用戶利用信息檢索系統進行檢索所產生的有效結果。作為信息需求能用戶的主觀願望是希望在最短的時間內獲取最滿意的信息結果。但在實際檢索時,往往受多方面因素的影響,通常只能檢索出一部分相關信息,而漏掉一部分相關信息。為此對檢索效果進行評價,以期找出檢索中存在的問題以及影響信息檢索效果的各種因素,進一步提高信息檢索的有效性。
信息檢索結果共軛表以一個檢索提問去檢索任何一個資料庫都會出現4個相關量:檢出的相關信息量、未被檢出的相關信息量、檢出的非相關信息量、未被檢出的非相關信息量。現將上述4個相關量匯總於右圖。
誤檢率(1)查全率
誤檢率(2)查準率
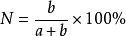
誤檢率(3)漏檢率
誤檢率(4)誤檢率
誤檢率是衡重誤檢出非相關信息的程度指標。
理想的檢出結果是查全率與查準率都趨近於1。但在實際檢索中,查全率與查準率之間存在互逆相關性。如果追求過高的查全率,就可能降低查準率。當查全率越趨近於100%時,查準率P則顯著降低。

