概述
1.1編碼的重要性
編碼、傳輸、存儲和解碼是語音數字傳輸和數字存儲的必要過程。
隨著語音通信技術的發展,壓縮語音信號的傳輸頻寬,增加信道的傳輸速率,一直是人們追求的目標。語音編碼在實現這一目標的過程中擔當重要的角色。
語音編碼就是使表達語音信號的比特數目最小。
1.2編碼速率
用比特/秒(b/s或bps)來度量,用I表示,
I=R·fs,R代表每個語音採樣值編碼所需的比特數;fs是採樣頻率。
當fs=8kHz,每個採樣值用8比特位來編碼,則編碼速率為64kb/s。
編碼的分類
語音編碼就是對模擬的語音信號進行編碼,將模擬信號轉化成數位訊號,從而降低傳輸碼率並進行數字傳輸,語音編碼的基本方法可分為波形編碼、參量編碼(音源編碼)和混合編碼,波形編碼是將時域的模擬話音的波形信號經過取樣、量化、編碼而形成的數字話音信號,參量編碼是基於人類語言的發音機理,找出表征語音的特徵參量,對特徵參量進行編碼,混合編解碼是結合波形編解碼和參量編解碼之間的優點。波形編解碼器雖然可提供高話音的質量,但數據率低於16kb/s的情況下,在技術上還沒有解決音質的問題。
2.1波形編碼
基本原理是在時間軸上對模擬話音信號按照一定的速率來抽樣,然後將幅度樣本分層量化,並使用代碼來表示。在接收端將收到的數字序列經過解碼恢復到原模擬信號,保持原始語音的波形形狀。話音質量高,編碼速率高。如PCM編碼類(a率或u率PCM、ADPCM、ADM),編碼速率為64-16kb/s,語音質量好。
波形編碼的目的在於儘可能精確地再現原來的語音波形,並以波形的保真度即自然度為其質量的主要度量指標,但波形編碼所需的碼速率較高。
2.2參數編碼
根據語音信號產生的數學模型,通過對語音信號特徵參數的提取後進行編碼(將特徵參數變換成數字代碼進行傳輸)。在接收端將特徵參數,結合數學模型,恢復語音,力圖使重建語音保持儘可能高的可懂度,重建語音信號的波形同原始語音信號的波形可能會有相當大的區別。如線性預測(LPC)編碼類。編碼速率低,2.4-1.2kb/s,自然度低,對環境噪聲敏感。
這種語音編碼的主要質量指標是可懂度,參量編碼可以將語音編碼以後的速率壓得很低。
2.3混合編碼(Hybridcoding)
將波形編碼與參數編碼相結合,在2.4-1.2kb/s速率上能夠得到高質量的合成語音。混合編碼把波形編碼的高質量和參量編碼的高效性融為一體,在參量編碼的基礎上附加一定的波形編碼特徵,實現在可懂度的基礎上適當地改善自然度的目的。
用於移動通信中的語音編碼一般都是混合編碼。選擇混合編碼時,要使比特率、質量、複雜度和處理時延這4個參量及其關係達到綜合最佳化。
2.4語音編碼的極限速率
語音中最基本的元素是音素,大約有128~256個,如果按通常的說話速度,每秒平均發出10個音素,則信息率為:I=[log2(256)10]bps=80bps
把發音看成是以語音速率來傳送,則語音編碼的極限速率為80bps,從數位化標準的編碼速率64kbps,到極限速率80bps,之間的距離,對於理論研究和實踐有著極大的吸引力。
語音信號壓縮編碼的評價系統
語音質量是衡量語音編碼算法優劣的關鍵性能之一。語音質量通常分為四類:
(1)廣播級:寬頻(0-7000Hz)高質量的語音,感覺不出噪聲存在
(2)網路或電話級:200Hz-3200Hz,信噪比大於30db。
(3)通信級:完全可以聽懂,但和長途電話相比,有明顯失真。
(4)合成級:80%-90%可懂度,音質較差,聽起來像機器講話,失去了講話者的個人特徵。
語音質量有主觀和客觀兩種評價方法
3.1主觀評價方法
評價指標:清晰度或可懂度、音質。前者是指語音是否容易聽清楚;後者指語音聽起來有多自然。
(1)可懂度評價DRT:DiagnosticRhymerTest
(2)音質評價:
MOS:MeanOpinionScore平均意見得分
DAM:DiagnosticAcceptabilityMeasure判斷滿意度得分。
MOS得分為五級:優、良、可、差和壞。滿分為5分,相當調頻廣播質量;4分以上是長途電話網標準;3.5分為通信標準;3.0分仍有較好的可懂度,保持自然度;2.5分只維持可懂度,是戰術通信標準。
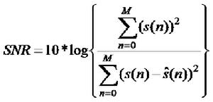
3.2客觀評價方法
(1)波形失真度,用信噪比來度量
語音編碼(2)頻譜失真測量
(3)譜包絡失真測量

