簡介
詹森指數詹森指數又稱為阿爾法值,是衡量基金超額收益大小的一種指標。這一指標綜合考慮了基金收益與風險因素,比單純的考慮基金收益大小要更科學。
詳細內容
詹森指數詹森指數實際上是對基金超額收益大小的一種衡量。這種衡量綜合考慮了基金收益與風險因素,比單純的考慮基金收益大小要更科學。一般在進行基金業績評價時,基金收益是比較簡單的指標;如果要求指標考慮到基金風險因素,則有詹森指數(Jensen)、特雷諾指數(Treynor)以及夏普指數(Sharpe)等綜合性評價指標。優秀的基金產品在於能夠通過主動投資管理,追求超越大盤業績表現。這說明基金投資不僅要收益,更要獲得超越市場平均水準超額收益。把這一投資理念量化後貫徹到基金產品中來,就是要通過主動管理的方式,追求詹森指數(或稱阿爾法值)的最大化,來創造基金投資超額收益最大化。只有戰勝市場基準組合獲得超額收益,才是專家理財概念最佳詮釋。投資者只有投資這樣基金產品,才可以真正達到委託理財,獲得最大收益的目的。
詹森指數代表的就是基金業績中超過市場基準組合所獲得的超額收益。就是詹森指數>0,表明基金業績表現優於市場基準組合,大得越多、業績越好;反之,如果詹森指數〈 0,則表明績效不好。
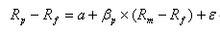
計算公式
詹森指數公式計算公式為:詹森指數=Ri,t—[Rf,t+βi(Rm,t-Rft)]
Rm,t為市場投資組合在t時期的收益率;Ri,t為i基金在t時期的收益率;Rf,t為t時期的無風險收益率,βi為基金投資組合所承擔的系統風險。詹森指數所代表的就是基金業績中超過市場基準組合所獲得的超額收益。即詹森指數>0,表明基金的業績表現優於市場基準組合,大得越多,業績越好;反之,如果詹森指數〈 0,則表明其績效不好。
作用
優秀的基金產品在於能夠通過主動的投資管理,追求超越大盤的業績表現。這說明基金投資不僅要有收益,更要獲得超越市場平均水準的超額收益。將這一投資理念量化後貫徹到基金產品中來,就是要通過主動管理的方式,追求詹森指數的最大化,來創造基金投資超額收益的最大化。只有戰勝了市場基準組合獲得超額收益,才是專家理財概念的最佳詮釋。投資者只有投資這樣的基金產品,才能真正達到委託理財,獲得最大收益的目的。
投資者可以參考詹森指數,來對基金投資的期望收益與證券市場的期望收益進行比較。投資基金可能在某一段時期收益是一個負值,但這並不表示這個基金不好,只要在這一階段詹森指數為正,我們還是可以認為這是一個優秀的開放式基金;相反,投資者所購買的開放式基金有較好的現金收益,但如果它的詹森指數是一個負值,那么就表示這是一個劣質的開放式基金。由於將基金收益與獲得這種收益所承擔的風險進行了綜合考慮,詹森指數相對於不考慮風險因素的絕對收益率指標而言,更為科學,也更具有可比性。將詹森指數的概念運用於基金投資中,追求詹森指數的極大化,也就是追求基金超額收益的極大化,這才是一個理性基金投資者的正確選擇。
理論基礎
詹森指數法直接建立在諾貝爾經濟學獎成果資本資產定價理論基礎之上。按照這一理論,隨機選取的投資組合,其阿爾法值應該等於零。如果某一投資組合的阿爾法值顯著大於零,則表明其業績好於大市;如果投資組合的阿爾法值顯著小於零,則表明其業績落後於大盤。可見,詹森指數的特點是在度量基金業績時引入了市場基準指數,能夠較好地反映基金關於市場的相對表現。

