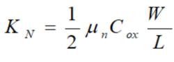
MOS電晶體的輸出電流-電壓特性的經典描述是薩氏方程。
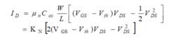
忽略二次效應,對於NMOS管導通時的薩氏方程為:
薩氏方程VGS-Vth:MOS管的“過驅動電壓”
L:指溝道的有效長度
W/L稱為寬長比
薩氏方程Kn稱為NMOS管的導電因子,μn載流子遷移率。
Id的值取決於工藝參數:μn、Cox、器件尺寸W和L、VDS及VGS。
截止區:VGS≤Vth,ID=0;
線性區(三極體區):VDS≤VGS-Vth,漏極電流即為薩氏方程。
薩氏方程MOS(金屬-氧化物-半導體)場效應管,簡稱MOS管(或器件),其核心結構是由導體、絕緣體與構成管子襯底的摻雜半導體這三層材料疊在一起組成的。在電學上MOS管作為一種電壓控制的開關器件。描述NMOS器件在三個區域中性能的理想表達式即為薩氏方程。
MOS電晶體的輸出電流-電壓特性的經典描述是薩氏方程。
忽略二次效應,對於NMOS管導通時的薩氏方程為:
薩氏方程VGS-Vth:MOS管的“過驅動電壓”
L:指溝道的有效長度
W/L稱為寬長比
薩氏方程Kn稱為NMOS管的導電因子,μn載流子遷移率。
Id的值取決於工藝參數:μn、Cox、器件尺寸W和L、VDS及VGS。
截止區:VGS≤Vth,ID=0;
線性區(三極體區):VDS≤VGS-Vth,漏極電流即為薩氏方程。
薩氏方程《上帝擲骰子嗎》 摘要 愛因斯坦:「一個人的價值,應該看他貢獻了什麼,而不是他取得了什麼。」 愛因斯坦說:「我不相信上帝是靠擲骰...
《上帝擲骰子嗎》 序 第一章 黃金時代 第二章 烏雲 第三章 火流星范德瓦耳斯方程(也稱范氏方程、凡德瓦方程)是荷蘭物理學家范德瓦耳斯根據...的增加,范氏方程和理想氣體方程結果的差別會變得十分明顯。 范氏方程對氣...的體積,即比容)變化而變化,所以這種情況下范氏方程不再適用。 理想氣體...
物態方程的研究。其後又有雷德利希-鄺氏方程(英語:Redlich–Kwong...:物質在平衡狀態下p-V-T關係的數學方程。當壓力足夠低時,各種氣體的p-V...定律。1802年,法國化學家J.-L.蓋-呂薩克發現:在恆壓下一定量氣體...
釋義 理論方程 半經驗方程 混合物狀態方程 研究方向一得 余 霖秘授治痧要略 歐陽調律羊毛溫證論 隨 霖溫病條辨 吳 瑭葉氏增...錫疇痧症度針 胡鳳昌痧症見聞錄 胡鳳昌張氏溫暑醫旨 張畹香溫病方書 沈...華峰疫證治例 朱蘭台溫病方歌 韓氏溫熱論 葉 桂著 周學海注注穴痧症驗方...
作品目錄: 第一支源於風姓包氏,出自遠古部落首領中國三皇五帝之首包羲字伏羲號黃熊謚太昊後裔,《易經繫辭》載:古者包羲氏之王天下也;《史記》載:伏羲至淳厚...,包羲隨母姓風,為風姓包氏。《元和姓纂》載:包羲太昊娶少典為妃。《史記》載...
姓氏起源 得姓始祖 分布 郡望堂號 代表人物出有: 第一支源於風姓包氏,出自遠古部落首領中國三皇五帝之首包羲字伏羲號黃熊謚太昊後裔,《易經繫辭》載:古者包羲氏之王天下也;《史記》載:伏羲...風華胥,包羲隨母姓風,為風姓包氏。《元和姓纂》載:包羲太昊娶少典為妃...
姓氏起源 得姓始祖 分布 郡望堂號 代表人物”,不久便死於任所.秦九韶在數學上的主要成就是系統地總結和發展了高次方程...》(1247年)是一部劃時代的巨著,內容豐富,精湛絕倫。特別是大衍求一術(不定方程...作出了傑出貢獻。任意次方程秦九韶的任意次方程的數值解領先霍納572年。秦九...
秦九韶 李冶 楊輝 朱世傑,其中最傑出的數學創造有“四元術”(多元高次方程列式與消元解法)、“垛積術...的高次方程數值解法和李冶的天元術都被包含在內. 在宋元時期的數學群英中,朱...主要表現在以下三個領域.首先是方程理論.在列方程方面,蔣周的演段法為天元...
簡介 經歷 軼聞 著述 貢獻是四元術,即多元高次方程組的建立和求解方法.秦九韶的高次方程數值解法和李冶...現在以下三個領域.首先是方程理論.在列方程方面,蔣周的演段法為天元術作了...,但他們推導方程仍受幾何思維的束縛,李冶基本上擺脫了這種束縛,總結出一套固定...
人物簡介 生平經歷 著名軼聞 相關著述 人物貢獻