原理
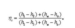
全稱 “再過熱循 環”。一種在朗肯循環基礎上採取再 熱措施的蒸汽動力裝置循環。其特點是: 把在汽輪機高壓缸中膨脹到某一中間壓力p的過熱蒸汽引出, 使在再熱器中再次接受外熱源的定 壓加熱以提高 其過熱溫度,然後引入汽輪機低壓 缸中繼續膨脹作功,直至凝汽器中的壓力p為止。在水泵功可忽略 不計的條件下,一次再熱循環的熱 效率為:
蒸汽再熱循環
圖1一次再熱循環的系統圖和溫-熵圖示於圖1(a)和(b)。
提高蘭金循環的熱效率應提高蒸汽的初壓,同時降低蒸汽經汽輪機膨脹做功後的終壓。這會導致汽輪機尾部各級蒸汽濕度的增高,從而降低汽輪機的內效率,蒸汽中液滴的增多還會沖蝕汽輪機葉片,損傷設備。所以,一般要求蒸汽的最終濕度不超過10%~12%。提高蒸汽初溫可以降低蒸汽的最終濕度,但提高蒸汽初溫又要受到金屬材料耐溫能力的限制。蒸汽的再熱,則可明顯降低蒸汽最終濕度,是解決這一問題的有效措施之一。
蒸汽的再熱不僅可以降低蒸汽的最終濕度,而且有可能提高循環的熱效率,關鍵是再熱溫度的確定和再熱壓力的選擇。再熱循環可以被想像為基本蘭金循環12341和一個利用再熱熱量的附加循環56735的組合 [見圖 (b)]。顯然,為提高附加循環的效率,再熱溫度宜取儘可能高的數值;在再熱溫度一定條件下,提高再熱壓力可以提高附加循環的效率,當該效率值高於基本循環的效率時,整個循環的效率就會因再熱而得到改善。但是,過多地提高再熱壓力,會使再熱熱量所占份額減少,使附加循環的作用變得微不足道,同樣對整個效率不利,所以從效率觀點出發存在著一個最佳的再熱壓力。
套用
採用蒸汽再熱循環循環時,提高蒸汽初壓、降低排汽壓力,均使汽輪機的排汽濕度加大,不僅降低汽輪機的相對內效率,而且蒸汽中水滴沖蝕汽輪機葉片,危及葉片的安全。採用蒸汽再熱是保證汽輪機最終濕度在允許範圍的一項有效措施。只要再熱參數選擇合適,還是進一步提高初壓和熱經濟性的重要手段。所以高參數、大容量再熱機組是現代火電廠的主要標誌之一。
核電汽輪機的新蒸汽過熱度低,或為乾飽和蒸汽乃至濕蒸汽,採用蒸汽再熱的作用主要還是為了安全,用以提高進入單缸的蒸汽乾度,使排汽濕度在允許範圍。
再熱使每千克工質的焓降增加,若汽輪機功率不變,則可減小汽輪機的總汽耗量,另外,再熱可採用更高的蒸汽初壓,但會使汽輪機結構、布置及運行方式複雜化,金屬耗量及造價增加,對調節系統要求高,使設備投資和維護費用增加。一般在200MW以上的超高參數汽輪機組上才採用蒸汽中間再熱。

