簡介
儘管極限回熱是無法實現的,但它給人們以利用膨脹作了功的蒸氣預熱鍋爐給水以提高循環熱效率的啟示,從而產生了用分級抽氣來加熱給水的實際回熱循環,即抽氣回熱循環。
原理
如下圖所示為兩級抽氣回熱循環原理圖及理論循環T-s圖。設有1 kg過熱蒸氣進入汽輪機膨脹作功。當壓力降低至P時,由汽輪機內抽取α kg蒸汽送入一號回熱器,其餘的(1-α)kg蒸氣在汽輪機內繼續膨脹,到壓力降至P時再抽出α kg蒸氣送人二號回熱器;汽輪機內剩餘的(1-α –α)kg蒸氣則繼續膨脹,直到壓力降至P時進入凝汽器。凝結水離開凝汽器後,依次通過二號、一號回熱器,在回熱器內先後與兩次抽氣混合加熱,每次加熱終了水溫可達到相應抽氣壓力下的飽和溫度。圖中所示回熱器為混合式的,實際上,電廠都採用表面式回熱器(即蒸汽不與凝結水相混合),其抽氣回熱的作用相同。
抽氣回熱循環圖左圖為抽氣回熱循環的工作原理圖。右圖為抽氣回熱循環的T-s圖。
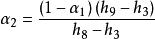
回熱抽氣率αα的計算,根據以凝結水被加熱到抽氣壓力下的飽和溫度為原則,由質量守恆和能量守平衡式來確定。取左圖中一號回熱器為控制體。
抽氣回熱循環
抽氣回熱循環
抽氣回熱循環從而得:
抽氣回熱循環從而有:
抽氣回熱循環式中, h、h ┈┈ 第一、第二次抽氣的焓。
h、h ┈┈ 第一、第二次抽氣壓力下飽和水的焓。
h┈┈ 乏汽壓力下凝結水的焓。
二級回熱循環熱效率為:
抽氣回熱循環式中 h、h ┈┈汽輪機新氣與乏氣的焓。
優點
採用抽氣回熱循環可以提高平均吸熱溫度,因此可以提高循環熱效率。需要指出的是,雖然理論上抽氣回熱次數愈多,最佳給水溫度愈高,從而平均吸熱溫度愈高,熱效率也愈高。但是,級數愈多,設備和管路愈複雜,而每增加一級抽氣的獲益愈少。因此,回熱抽氣次數不宜過多,通常電廠回熱級數為3-8級。
極限回熱循環
抽氣回熱循環為了便於和卡諾循環對照分析,我們取初態為乾飽和蒸氣的朗肯循環,如圖所示。由凝氣器出來的低溫凝結水不是直接送到鍋爐,而是首先進入汽輪機殼的夾層中,由汽輪機的排氣端向進氣端流動,並依次被汽輪機內的蒸氣所加熱。這時蒸氣在汽輪機內膨脹作功的同時,通過機殼不斷向凝結水放熱,即膨脹過程將沿曲線1-2進行。假設傳熱過程是可逆的,即在機殼的每一點上,蒸氣與凝結水之間的溫差為無限小,此時曲線1-2將與4-3平行,結果蒸氣通過機殼傳出的熱量(面積12781)將等於凝結水吸收的熱量(面積34653),凝結水最終被加熱到初壓力下的飽和溫度了T,(即T),然後再送人鍋爐。由於面積l22'1等於面積343'3,所以面積12341與面積12'3'41相等。於是循環1-2-3-4-1將與相同溫度T、T下的卡諾循環1-2'-3' -4-1等效,即它們將具有相同的熱效率。這個循環稱為極限回熱循環。
顯然,極限回熱循環在實際上是無法實現的,因為蒸氣流過汽輪機時的速度很高,要在短時間內使蒸氣通遘機殼傳熱給水是不可能的,汽輪機構造上有困難,傳熱溫差為零更是無法實現。
