概念
11日傍晚,在東京都阿佐ヶ谷附近出現的落雷 落雷(thunderbolt)又稱霹靂或雲地間閃電。常用的檢測方法即在我國電網中投入運行的雷電定位系統,該系統由中心站和分布在不同地方的數個線上時差探測站組成。當被監視的區域內發生雷雲對地放電時,中心站根據各時差探測站獲得的閃電放電電磁信號時差,便可通過專用程式計算和確定雷擊點位置。
基於OPGW的輸電線路落雷檢測與定位研究
輸電線路分布範圍很廣,尤其高壓、特高壓線路通常縱橫跨越數百至上千公里,沿線地形極其複雜,很容易遭受雷擊。輸電線路一旦發生雷擊事故,若不能在第一時間對故障點定位及進行故障排除,不僅直接影響輸電線路的正常運行和輸電系統的安全可靠性,也會給社會經濟發展及人們的生產生活造成嚴重影響。因此,積極探索和研究架空輸電線路雷擊故障波檢測及定位技術,有效縮短輸電線路遭受雷擊位置的查找時間,就顯得尤為必要。
OPGW兼具地線與通信雙重功能,一旦遭受雷擊而發生故障,不僅嚴重影響系統運行,還會影響到正常的通信傳輸工作。因此,對OPGW上的雷擊故障點定位並及時排除故障對電力系統的正常運行具有非常重要的意義。
雷擊定位技術的現狀
已有基於導線行波的雷擊檢測與定位技術,通過在2個變電站之間幾百公里線路上均勻布置行波檢測設備,來實現導線上故障信號的檢測與定位。但是當前導線行波的雷擊故障檢測技術,需要在高壓端取電,安裝與維護時需要耗費大量的人力、物力;同時所需行波檢測設備的數量也與線路長度成正比,線路越長,設備配置與系統維護所需要的成本也會顯著增加。
但無論如何,導線上的雷擊故障定位技術畢竟還是可以實現的。然而對於發生在OPGW地線上的雷擊事件,尚無有效的檢測手段及雷擊點定位的方法;由於OPGW多採用逐塔接地的方式,雷電行波信號在OPGW上也難以長距離傳輸,因此導線上的雷擊故障檢測方法也就無法推廣至OPGW。人們亟待找出一種快速、準確地實現對OPGW上故障點定位的技術。
研究提出了一種基於法拉第效應的輸電線路雷擊監測與定位技術,利用OPGW中的光纖作為感測器,不需要線上路上額外安裝任何設備,通過遠端主機向光纖中注入探測光,並檢測光纖中傳輸光信號的變化來進行雷擊信號的檢測與定位。
OPGW雷擊檢測與定位的原理及方案
(1)技術原理
當線偏振光在介質中沿著磁場方向傳輸時,透射光依然為線偏振光,但由於磁場作用使介質對左、右圓偏振的折射率不同,透射線偏振光的偏振方向就會發生旋轉,這就是法拉第效應。光在磁場的作用下的偏轉面旋轉的角度θ與光波在介質中走過的路程d及介質中的磁感應強度在光的傳播方向上的分量B成正比,即
θ=VBd
式中,比例係數V由介質和工作波長決定,表征著物質的磁光特性,稱為費爾德常數。
在OPGW中傳輸光的偏振態會受到磁場和其他物理因素的調製,尤其是雷擊時強大的脈衝電流產生的磁場會使OPGW內部傳輸光的偏振態產生劇烈變化,傳輸光的法拉第旋轉角度就直接反映了線路上雷電流及其產生的磁場的大小變化。
(2)系統方案
圖1 基於OPGW的雷擊檢測與定位系統框圖 根據上述原理,如果能夠檢測到雷擊前後的光纖中傳輸光偏振角的變化,就能夠實現雷擊信號的檢測;但是要實現雷擊點的定位,單路的信號是無法實現的,必須同時存在兩路信號。提出了基於OPGW的輸電線路雷擊檢測與定位方案,具體光路結構如圖1所示。
雷射器發出的光經過光纖隔離器進入OPGW中的一根光纖,經過幾十甚至上百公里傳輸後到達OPGW另一端;再經過一卷約25km延遲光纖後,沿OPGW中另一根光纖傳輸回來,通過信號調理模組解調光信號信息,數據通過計算機進行處理與分析。
實驗裝置及結果
(1)實驗裝置
圖2 模擬雷擊實驗方案框圖 為了驗證實驗方案的可行性,在實驗室環境進行了模擬雷擊的實驗驗證,實驗方案如圖2所示。
光學主機為自主研發的雷擊監測和定位裝置,包含了雷射器、隔離器、光電轉換單元及信號調理單元等部分。其輸出連線埠通過光纖跳線連線至OPGW的一芯光纖,輸入連線埠接入OPGW的另一芯光纖,在OPGW另一端通過延遲光纖將上述兩芯光纖串接在一起。高電壓設備產生的模擬雷擊電流信號通過導線傳輸至OPGW,在距離雷擊點L=5m的位置為電氣接地點。
由於實驗現場不可能架設數十千米的OPGW以做到與實際線路完全一致,但為了模擬實際輸電線路上的雷擊情況,用了長度分別約為25km、50km、100km的延遲光纖來代替數十千米的OPGW線路。
雷擊發生後會同時對OPGW中所使用的兩芯光纖產生作用,分別產生一個雷擊脈衝信號。一根光纖中的信號沿著路徑1傳輸至光學主機,另一根光纖中的信號沿著路徑2傳輸至光學主機,通過判斷這2個脈衝信號的時間差,就能夠計算出雷擊位置後方的光纖線路的長度,這在實際線路上也就是雷擊點距離對側變電站的距離的2倍,進而實現雷擊點的故障定位。
(2)實驗結果
圖3 雷電流信號與實測信號波形對比 經過對設定25km、50km、100km長延遲光纖的實驗,由高電壓設備內部的互感器獲取的實驗室模擬的雷電信號波形和本光學主機採集的波形對比如圖3所示(幅度均為相對的,幅值的正負與光纖初始偏振態有關,不代表方向)。
從圖3(a)看出,受條件限制,實驗室的雷擊信號波頭為25μs左右,電流過零值後存在約150μs的“拖尾”震盪,儘管這可能與線路上的狀況不完全一樣,但是從原理上講並不影響波形與定位的實際判斷。對比圖3中的4幅子圖可以發現,設定100km長的延遲光纖後的2次雷擊信號能夠完全分離,且每次波形均與雷電流波形比較一致。25km、50km的信號中第一個信號的尾端與第二個信號的起始端存在交叉疊加,這主要與雷電流的拖尾較長有關。而實際線路上的雷擊信號持續時間一般不超過100μs,故在對側變電站額外安裝25km的延遲光纖就足以區分出兩次的雷擊信號。在本實驗中,通過數據處理方法依然可以辨別出兩個信號的起點位置,如圖中“□”與“○”標記所示。
表1 實際光纖長度與測量結果對比 為了驗證系統的可靠性,對不同長度的延遲光纖均作了多次試驗,並用光時域反射儀(OTDR)測量了光纖的長度,數據對比見表1。
通過表1出,設備所測量的雷擊點之後的光纖長度與實際光纖長度相比,大多數情況下誤差均不超過200m,最大的誤差為497m(最大相對誤差1%)。如果考慮到在實際線路上套用時,線路長度為光纖長度的一半,那么精度可達到±250m,這說明本系統可以實現雷擊點的定位。
研究結論
從原理及實驗2個方面對基於OPGW的輸電線路上落雷檢測與定位技術進行了分析。從波形上看,本系統基本可以定性還原出雷電流的實際波形;從定位結果上看,本技術也可以實現OPGW遭受雷擊時的雷擊點定位,套用於試驗線路上時的定位誤差可以達到±250m。因此,研究提出的基於OPGW的雷擊檢測方法可以實現輸電線路上的落雷檢測與定位,這可以為輸電線路上落雷檢測技術的發展提供思路和理論實踐依據。未來會將本系統在220kV及500kV運行的線路上進行測試套用,這個技術的實用化將為輸電線路的防雷設計和改造提供更多有用信息。
高速鐵路接觸網落雷特性及防雷技術的探討
國內高速鐵路投入運行後接觸網經受住了各種考驗,供電基本安全可靠,但也暴露出一些問題,特別是雷擊引起的接觸網設備故障問題非常突出。據統計,2010—2011年全路因雷擊造成牽引供電系統故障52起,2012年1~7月造成牽引供電系統故障30起;京滬、武廣高鐵開通接觸網遭雷擊530起,接觸網設備時有損壞,影響了高速鐵路運輸秩序及牽引供電安全。
雷電過電壓及雷電放電分析
雷電過電壓是雷雲放電引起架空電力線路的過電壓,可分為直擊雷過電壓和感應雷過電壓2種。直擊雷過電壓是由於雷電放電,強大的雷電流直接流經被擊物產生的過電壓,其特點是放電電壓高、放電電流大、放電過程時間短、閃電電流波形波頭陡度大;感應雷過電壓是雷擊線路附近大地,由於電磁感應在導線上產生的過電壓,其特點是雷電感應電壓幅值與雷雲對地放電時的電流、線路間相對位置、土壤電阻率、線路長度和高度、設備接地裝置的電阻等諸多因素有關。與直擊雷過電壓相比,感應雷過電壓的波形較平緩,波長較長。由於雷電現象極為頻繁,產生的雷電過電壓可達數千千伏,足以使電氣設備絕緣發生閃絡和損壞。
作用於高速鐵路架空接觸網的雷電過電壓絕大部分(約90%)是由帶負電的雷雲對地放電引起的,稱為負下行雷。負下行雷包括若干次重複的放電過程,每次放電可分為先導放電、主放電和餘輝放電3個階段。
(1)雷電先導放電階段
因雷雲帶有大量電荷,由於靜電感應作用,大地感應出與雷雲相反的電荷,雷雲與地面形成一個已充電的電容器,雷雲中的電荷分布是不均勻的,當雷雲中的某個電荷密集中心的電場強度達到空氣擊穿場強時,空氣便開始電離,形成指向大地的一段電離的微弱導電通道,稱為先導放電。開始產生的先導放電是跳躍式向前發展,平均速度105~106m/s,中心溫度可達3×104K,縱向電位梯度約為100~500kV/m,電暈半徑約為0.6~6m,先導放電常常表現為分枝狀,這是由於放電是沿著空氣電離最強、最容易導電的路徑發展的。這些分枝狀的先導放電通常只有一條放電分支達到大地,先導放電階段的雷電流很小,約為100A。
(2)雷電主放電階段
當先導放電到達大地,或與大地較突出的部分迎面會合以後,就進入主放電階段。主放電過程是逆著負先導的通道由下向上發展的。在主放電中,雷雲與大地之間所聚集的大量電荷,通過先導放電所開闢的狹小電離通道發生猛烈的電荷中和,放出巨大的光和熱,通道溫度可達15000℃~20000℃,使空氣急劇膨脹震動,發生霹靂轟鳴,這就是雷電伴隨強烈的閃電和震耳的雷鳴。在主放電階段,雷擊點有巨大的電流流過,大多數雷電流峰值可達數十乃至數百千安,主放電的時間極短,為50~100μs,主放電電流的波頭時間為0.5~10μs,平均時間約為2.5μs。
(3)雷電餘輝放電階段
當主放電階段結束後,雷雲中的剩餘電荷將繼續沿主放電通道下移,使通道連續維持著一定餘輝,稱為餘輝放電階段。餘輝放電電流僅數百安,但持續的時間可達0.03~0.05s。
雷雲中可能存在多個電荷中心,當第一個電荷中心完成上述放電過程後,可能引起其它電荷中心向第一個中心放電,並沿著第一次放電通路發展,因此,雷雲放電往往具有重複性。每次放電間隔時間約為0.6ms~0.8s,即多次重複放電。據統計,55%的落雷包含2次以上,重複3~5次的占25%,平均重複3次,最高記錄42次。
綜上所述,直擊雷、感應雷對接觸網設備都有影響,雷擊的主放電過程對接觸網設備破壞極大,餘輝放電次之,而先導放電基本上對接觸網設備的安全運行沒有影響。
高速鐵路接觸網落雷分析
雷電放電受氣象條件、地形和地質等許多自然因素影響,帶有很大的隨機性,主要的雷電參數有雷暴日及雷暴小時、地面落雷密度、主放電通道波阻抗、雷電流極性、雷電流幅值、雷電流等值波形、雷電流陡度等。其中,雷暴日、地面落雷密度是防雷保護設計最重要的依據。
(1)雷暴日
表征一個地區雷電活動的頻繁程度通常以該地區的雷暴日( T)來表示。雷暴日是指該地區平均一年內有雷電放電的平均天數,單位為d/a。國內電力行業標準DL/T620-1997《交流電氣裝置的過電壓保護和絕緣配合》(以下簡稱DL/T620-1997標準)中平均年雷暴日數不超過15d的地區劃為少雷區,如西北地區;平均年雷暴日數超過15d但不超過40d的地區劃為中雷區,如長江流域;平均年雷暴日數超過40d但不超過90d的地區劃為多雷區,如華南大部分地區;平均年雷暴日數超過90d的地區及根據運行經驗雷害特別嚴重的地區劃為雷電活動特殊強烈區,如海南島和雷州半島。
(2)地面落雷密度
雷雲對地放電的頻繁程度以地面落雷密度(g)來表示,g是指每一雷暴日每平方公里地面遭受雷擊的次數。DL/T620-1997標準中給出的地面落雷密度和雷暴日的經驗關係式g=0.023 T ,由此判斷,一年中雷暴日越多的地區地面落雷密度越大,中雷區 T=40,則 γ=0.07;重雷區 T=90,則 γ=0.09。
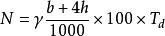
(3)高速鐵路接觸網的落雷次數
落雷[自然現象] 由於高速鐵路接觸網普遍架設在空曠田野的橋樑上,一般為該區域的最高點,存在引雷作用,其吸引範圍與導線高度等因素有關,每100km線路每年遭受雷擊的次數 N為
式中, b為邊相導線間的距離,m; h為導線的平均高度,m。
由此可對接觸網的落雷進行分析,中雷區 T=40, γ=0.07,接觸網的落雷次數為 N=0.28( b+4 h),高速鐵路接觸網的高度在16~36m,兩線間距約14m。按接觸網平均高度26m計算,中雷區落雷次數為33次/100km·a。重雷區 Td=90, γ=0.09,接觸網的落雷次數為 N=0.81( b+4 h),重雷區落雷次數為95次/100km·a。
一般220kV電力線路, b=11.6m, h=27.25m,則中雷區、重雷區落雷次數分別為33.8次/100km·a和97.7次/100km·a。可見,國內高速鐵路接觸網與220kV電力線路的落雷次數基本相當。
雷電對高速鐵路接觸網的影響
(1)直擊雷
直擊雷放電電壓高、放電電流大,當雷電擊中導線後,在導線上產生很高的過電壓,會引起絕緣子閃絡和設備損壞。例如,2012年7月4日14時12分,直擊雷擊中京滬高鐵王莊—匡莊區間2482#支柱加強線支持絕緣子,造成瓷絕緣子破損2片,故障停電11min。架設避雷線可有效地減少雷直擊接觸網的機率。
(2)感應雷
落雷[自然現象] 雷雲對地放電時,落雷處距架空接觸網的垂直距離 S>65m時,無避雷線的架空導線上產生的感應雷過電壓最大值可按下式估算:
式中, U為雷擊大地時感應雷過電壓,kV; I為雷電流幅值,kA; h為導線平均高度,m; S為雷擊點與線路的垂直距離,m。
感應雷過電壓與雷電流幅值 I成正比,與導線懸掛平均高度 h成正比, h越高則導線對地電容越小,感應電荷產生的電壓就越高;感應雷過電壓與雷擊點到線路的距離 S成反比, S越大,感應雷過電壓越小。由於雷擊地面時,被擊點的自然接地電阻較大,最大雷電流幅值一般不會超過100kA,按100kA進行估算,感應雷過電壓的幅值為300~400kV,可引起35kV及以下電壓等級電力線路的絕緣子閃絡,而對110kV及以上電壓等級的電力線路,則不會引起閃絡。例如,2012年7月12日17時35分,感應雷造成武廣高鐵赤壁北至岳陽東區間上下行接觸網停電,938#、940#支柱上正饋線絕緣子閃絡,故障停電24min。
高速鐵路接觸網防雷技術
(1)現有的接觸網防雷措施
現有的鐵路電力牽引供電設計規範規定,根據雷電日及運營經驗,按下列原則對接觸網進行大氣過電壓保護:“高雷區及強雷區,下列重點位置應設避雷器:①分相和站場端部絕緣錨段關節;②長度2000m及以上隧道的兩端;③較長的供電線或AF線連線到接觸網上的接線處。強雷區應架設獨立的避雷線。”依據設計規範,接觸網可採取的防雷措施如下:
①接觸網柱頂架設避雷線,避雷線對承力索、正饋線的保護角不宜大於20°,避雷線宜每200~300m設獨立接地極。
②支柱接地與高速鐵路綜合接地系統的貫通地線相連,當鐵路未設綜合接地系統時,支柱通過保護線或回流線、架空地線等實現安全接地。
③在牽引變電所出口、接觸網隔離開關、高壓電纜頭等處採用氧化鋅避雷器。
(2)接觸網防雷技術發展思路
①構建區域化設防網路
參考國內電網雷電定位系統和雷電監測網的雷電日、地閃密度及雷電流幅值等統計數據,找出各省區鐵路沿線雷電活動特性,便於接觸網採取針對性的防雷措施和差異化設計。鐵路供電部門還可進一步研究利用雷電監測網的雷電臨近預警功能進行預防工作,利用雷電定位功能進行接觸網雷電故障點的快速標定,便於組織搶修工作。
②提高接觸網雷電設防精度
根據雷電監測網統計的雷電活動數據計算鐵路沿線接觸網遭受雷擊的頻度及跳閘率,並結合地形地貌(如平原/山谷、荒漠/樹木等)及接觸網架設特徵(路基/高架)等確定雷電設防標準及防雷措施。
③採取針對性的接觸網防雷措施
對於鐵路穿越雷電活動密集地區,或接觸網遭受直擊雷較多的路段,如平原/荒漠地區或高架橋區段,採取以局部架設避雷線為主的防雷措施。
對於鐵路選線臨近雷電活動密集地區,或山谷里、樹木覆蓋率高及臨近城市高層建築等情況,接觸網採取以預防感應過電壓、反擊雷電過電壓為主的防雷措施。
(3)高速鐵路接觸網防雷存在的問題
①避雷線設定
在橋隧相連的山區高速鐵路,獨立避雷線設定有難度,由於高速鐵路接觸網普遍採用AT供電方式,可以考慮提升保護線(PW)或正饋線(AF)高度兼作避雷線的方案。
當利用保護線兼作避雷線時,應做獨立的接地極,且鐵路沿線吸上線設定點、建築物內的電氣、電子設備或變、配電所35kV及以下設備與貫通地線的地下連線點,應與該獨立接地點保持15m以上的地中距離。
當利用正饋線兼作避雷線時,在牽引變電所正饋線上網點應單獨設定隔離開關,保證具備正饋線單獨退出運行或故障切除的功能。
②避雷器設定
國內接觸網普遍採用無間隙氧化鋅避雷器,額定電壓42kV,標稱放電電流5kA,該氧化鋅避雷器在高速鐵路運行中存在如下問題:
由於交直交傳動動車組的高次諧波電流引起牽引供電系統諧振,高幅值、高頻率電壓造成多條高鐵接觸網避雷器閥片發熱、爆炸。
在直擊雷的主放電階段,由於雷電流峰值可達數十乃至數百千安,主放電的時間約為50~100μs,而接觸網用氧化鋅避雷器的標稱放電電流5kA、放電時間20μs的技術條件較低,在高速鐵路運行中,存在雷電後避雷器放電計數但絕緣子仍閃絡擊穿的現象。
所以,合理的避雷器設定不是簡單的增加數量和密度,而是應進一步提高避雷器耐受過電壓、過電流能力。
研究結論
根據雷電過電壓及雷電放電過程分析,可以看出雷擊的主放電過程對接觸網設備破壞極大。高速鐵路接觸網與電力系統220kV架空線路的落雷次數相當,由於接觸網的絕緣等級較低,因此直擊雷、感應雷均會破壞接觸網絕緣性能,造成安全隱患。在現有接觸網防雷措施的基礎上,應注意採用或發展以下防雷技術:
(1)參考國內電網雷電定位系統,構建高速鐵路區域化接觸網雷電設防網路。
(2)利用雷電監測網統計的雷電活動數據,提高接觸網雷電設防精度。
(3)判別鐵路沿線直擊雷、感應雷的影響因素,採取針對性的接觸網防雷措施。
(4)靈活採取獨立避雷線或利用保護線、正饋線兼作避雷線的技術方案,並適當提高氧化鋅避雷器的技術參數。
![落雷[自然現象] 落雷[自然現象]](/img/9/43f/nBnauM3XwgTO0MDNwITOzYTN1UTM1QDN5MjM5ADMwAjMwUzLykzLxczLt92YucmbvRWdo5Cd0FmLwE2LvoDc0RHa.jpg)
