定義
菲涅爾函式圖像菲涅爾函式 (Fresnel function)又稱菲涅爾積分 (Fresnel integral)。
菲涅爾函式 有兩種S(x) C(x)
S(x)=∫sin(t^2)dt,(0~x)=∑[(-1)^n*x^(4n+3)/((2n+1)!(4n+3))](0~∞)
C(x)=∫cos(t^2)dt,(0~x)=∑[(-1)^n*x^(4n+1)/((2n)!(4n+1))](0~∞)
性質
S(x),C(x) 分別是在R上的奇函式
導數
S'(x)=sin(x^2)
C'(x)=cos(x^2)
漸近線
因為S(+∞)=C(+∞)=√(π/8)
S(x),C(x)有兩條水平漸近線y=±√(π/8)
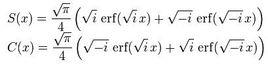
用誤差函式表示
用誤差函式表示,必須用到複數
S(x)=√(π)/4(√(i)erf(x√(i))+√(-i)erf(x√(-i)))
C(x)=√(π)/4(√(-i)erf(x√(i))+√(i)erf(x√(-i)))
(erf(x)是誤差函式,i是虛數單位)
所以,可以得到
C(z)+iS(z)=√(π/8)*(1+i)erf[(1-i)z/2] (z為複數)

