菲克第二定律
英文名:Fick’ssecondlaw
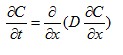
菲克第二定律是在菲克第一定律的基礎上推導出來的。菲克第二定律指出,在非穩態擴散過程中,在距離x處,濃度隨時間的變化率等於該處的擴散通量隨距離變化率的負值,即
將代入上式,得
式2••••••(2)
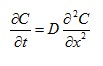
這就是菲克第二定律的數學表達式。如果擴散係數D與濃度無關,則該式可以寫成
式3••••••(3)
上式中,C為擴散物質的體積濃度(kg/m),t為擴散時間(s),x為距離(m)。實際上,固溶體中溶質原子的擴散係數D是隨濃度變化的,為了使求解擴散方程簡單些,往往近似地把D看作恆量處理。
式(2)和(3)都是偏微分方程,求解時應先作變換:令,這樣,式(3.7-3)就可以變成一個常微分方程,再結合初始條件和邊界條件求出方程的通解。利用通解可以解決包括非穩態擴散的具體問題。
