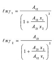
方程式
范拉爾方程式如下所示:
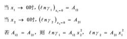
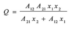
范拉爾方程
范拉爾方程
范拉爾方程套用
1、硝酸水溶液的蒸汽壓
由於溶液中硝酸的電離,因而這一溶液是電解質溶液。對此,一些通用的計算汽液平衡的狀態方程以及一些計算活度係數的經典方程如:馬格拉斯(Margules)方程、威爾遜(Wilson)方程都無法套用。范拉爾方程雖然也屬於套用於非極性溶液的方程,但經我們計算結果可以用於這一電解質溶液中。因此范拉爾方程可推廣用於硝酸水溶液的相平衡計算中。在濃度不超過60%的情況下,其誤差在工程允許的範圍內,故而可以在手算或電算模擬系統中採用。
2、環己烷—異丙醇含鹽體系的汽液平衡
所涉及的體系在不同鹽濃度下的汽液平衡關係,用范拉爾方程及威爾遜方程關聯都得到較好的結果,說明擬二元體系模型用於該體系,即使在非飽和鹽濃度時也是可行的。從汽相組成均方差及溫度均方差看,范拉爾方程較威爾遜方程略好些。
套用上的優缺點
范拉爾方程有著悠久的歷史,仍具有實用價值,特別是定性分析方面。但是套用過程中也存在以下的優缺點。
優點:1、數學表達式簡單。
2、容易從活度係數數據估算參數。
3、對於非理想性的二元混合物,包括部分互溶物系,也可進行計算。
缺點:1、不能用二元數據正確判斷三元系的活度係數。
2 、不能用於多元系相平衡計算。

