.物質的理化常數
:國標編號 41036
CAS號 80-17-1
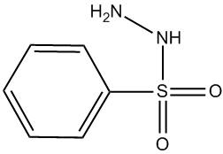
中文名稱 苯磺醯肼
英文名稱 benzenesulfonylhydrazine
別 名 發泡劑BSH
分子式 C6H8N2O2S;C6H6SO2NHNH2 外觀與性狀 淺黃色結晶,易潮解
分子量 172.20 蒸汽壓
熔 點 95~100℃ 溶解性 不溶於水
密 度 相對密度(水=1)1.41~1.43 穩定性 穩定
危險標記 8(易燃固體) 主要用途 用作發泡劑,也製造泡沫塑膠、泡沫橡膠
對環境的影響
:一、健康危害
侵入途徑:吸入、食入、經皮吸收。
健康危害:具有刺激性。
二、毒理學資料及環境行為
危險特性:遇明火、高熱或與氧化劑 接觸,有引起燃燒爆炸的危險。對摩擦、撞擊較敏感,有燃燒的危險。燃燒時,放出有毒氣體。
燃燒(分解)產物:一氧化碳、二氧化碳、氧化氮、氧化硫。
3.現場應急監測方法:
4.實驗室監測方法:
用亞硝酸反應測定苯甲醯肼和苯磺醯肼【刊,俄】/Veselov V.Ya.;Grekov A.P.,Kachorovskaya O.P.// Ж.анал.хим.-1983,38(11).-2027~2030《分析化學文摘》1985.12
5.環境標準:
應急處理處置方法
:一、泄漏應急處理
隔離泄漏污染區,限制出入。切斷火源。建議應急處理人員戴自給式呼吸器,穿一般作業工作服。不要直接接觸泄漏物。用水潤濕,收集於密閉的塑膠桶或紙板桶中。回收或運至廢物處理場所處置。
二、防護措施
呼吸系統防護:空氣中粉塵濃度較高時,應該佩戴自吸過濾式防塵口罩。必要時佩戴空氣呼吸器。
眼睛防護:戴安全防護眼鏡。
身體防護:穿透氣型防毒服。
手防護:戴防毒物滲透手套。
其它:工作現場禁止吸菸、進食和飲水。工作畢,淋浴更衣。注意個人清潔衛生。
三、急救措施
皮膚接觸:脫去被污染的衣著,用肥皂水和清水徹底沖洗皮膚。
眼睛接觸:提起眼瞼,用流動清水或生理鹽水沖洗。就醫。
吸入:迅速脫離現場至空氣新鮮處。保持呼吸道通暢。如呼吸困難,給輸氧。如呼吸停止,立即進行人工呼吸。就醫。
食入:飲足量溫水,催吐,就醫。
滅火方法:滅火劑:霧狀水、二氧化碳、泡沫、乾粉、砂土。

