定義
若爾當塊
若爾當標準型
若爾當標準型
若爾當標準型形式為的矩陣稱為若爾當塊(其中為複數)。即若當塊矩陣對角線上為相同的複數,下方(或上方)次對角線上全為1,其餘元素全為0。
若爾當標準型
若爾當標準型
若爾當標準型
若爾當標準型由若干個若爾當塊組成的準對角矩陣稱為若爾當標準型,其一般形狀為,其中,並且中有一些可以相等。
實例
若爾當塊實例
若爾當標準型
若爾當標準型
若爾當標準型例如,,都是若爾當塊。
若爾當標準型實例
若爾當標準型
若爾當標準型
若爾當標準型
若爾當標準型例如是一個若爾當標準型矩陣。其由,,等三個若爾當塊組成。
理論推導與例子
一般採用初等因子理論來完成若爾當標準型的理論推導,其具體推導過程參見王萼芳《高等代數》346-349頁。 這裡我們採用一個具體的例子來說明若爾當標準型的計算過程。
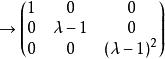
若爾當標準型例:求矩陣的若爾當標準型。
若爾當標準型解:首先求的初等因子:
若爾當標準型
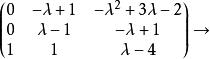
若爾當標準型
若爾當標準型
若爾當標準型
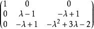
若爾當標準型。
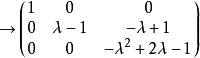
若爾當標準型因此,A的初等因子是,A的若爾當標準型是
若爾當標準型